您當前的位置:檢測資訊 > 檢測案例
嘉峪檢測網 2019-05-15 09:11
電化學阻抗譜(交流阻抗法)是電化學測試技術中一類十分重要的方法,是研究電極過程動力學和表面現象的重要手段。
特別是近年來,由于頻率響應分析儀的快速發展,交流阻抗的測試精度越來越高,超低頻信號阻抗譜也具有良好的重現性,再加上計算機技術的進步,對阻抗譜解析的自動化程度越來越高,這就使我們能更好的理解電極表面雙電層結構,活化鈍化膜轉換,孔蝕的誘發、發展、終止以及活性物質的吸脫附過程。
1. 電化學阻抗譜的基礎
電化學阻抗譜(Electrochemical Impedance Spectroscopy,EIS):給電化學系統施加一個頻率不同的小振幅的交流正弦電勢波,測量交流電勢與電流信號的比值(系統的阻抗)隨正弦波頻率w的變化,或者是阻抗的相位角f隨w的的變化。通常作為擾動信號的電勢正弦波的幅度在5mV左右,一般不超過10mV。

1.1 利用EIS研究一個電化學系統的基本思路
將電化學系統看作是一個等效電路,這個等效電路是由電阻(R)、電容(C)、電感(L)等基本元件按串聯或并聯等不同方式組合而成,通過EIS可以測定等效電路的構成以及各元件的大小,利用這些元件的電化學含義,來分析電化學系統的結構和電極過程的性質等。
1.2 電化學系統的交流阻抗的含義

給黑箱(電化學系統M)輸入一個擾動函數X,它就會輸出一個響應信號Y。用來描述擾動與響應之間關系的函數,稱為傳輸函數G(w)。若系統的內部結構是線性的穩定結構,則輸出信號就是擾動信號的線性函數。

如果X為角頻率為w的正弦波電流信號,則Y即為角頻率也為w的正弦電勢信號,此時,傳輸函數G(w)也是頻率的函數,稱為頻響函數,這個頻響函數就稱之為系統M的阻抗(impedance),用Z表示。

EIS技術就是測定不同頻率w(f)的擾動信號X和響應信號Y的比值,得到不同頻率下阻抗的實部Z’、虛部Z”、模值|Z|和相位角f,然后將這些量繪制成各種形式的曲線,就得到EIS抗譜。
常用的電化學阻抗譜有兩種:
一種叫做奈奎斯特圖(Nyquist plot), 一種叫做波特圖(Bode plot)。

1.3 EIS的特點
優點:體系干擾小;提供多角度的界面狀態與過程的信息,便于分析腐蝕緩蝕作用機理;數據分析過程相對簡單,結果可靠。
缺點:復雜的阻抗譜的解釋。
2. 電極過程的等效電路
2.1 電荷傳遞過程控制的EIS
如果電極過程由電荷傳遞過程(電化學反應步驟)控制,擴散過程引起的阻抗可以忽略,則電化學系統的等效電路可簡化為:

等效電路的阻抗:

電極過程的控制步驟為電化學反應步驟時,Nyquist圖為半圓,據此可以判斷電極過程的控制步驟。從Nyquist圖上可以直接求出RW和Rct。由半圓頂點的w可求得Cd。

注意:在固體電極的EIS測量中發現,曲線總是或多或少的偏離半圓軌跡,而表現為一段圓弧,被稱為容抗弧,這種現象被稱為“彌散效應”,原因一般認為同電極表面的不均勻性、電極表面的吸附層及溶液導電性差有關,它反映了電極雙電層偏離理想電容的性質。
溶液電阻RW除了溶液的歐姆電阻外,還包括體系中的其它可能存在的歐姆電阻,如電極表面膜的歐姆電阻、電池隔膜的歐姆電阻、電極材料本身的歐姆電阻等。
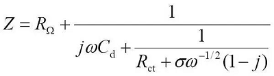
2.2 電荷傳遞和擴散過程混合控制的EIS
如果電荷傳遞動力學不是很快,電荷傳遞過程和擴散過程共同控制總的電極過程,電化學極化和濃差極化同時存在,則電化學系統的等效電路可簡單表示為:

電路的阻抗:

Nyquist圖上擴散控制表現為傾斜角π/4(45°)的直線。

電極過程由電荷傳遞和擴散過程共同控制時,在整個頻率域內,其Nyquist圖是由高頻區的一個半圓和低頻區的一條45度的直線構成。
高頻區為電極反應動力學(電荷傳遞過程)控制,低頻區由電極反應的反應物或產物的擴散控制。

擴散阻抗的直線可能偏離45°的原因:
(1)電極表面很粗糙,以致擴散過程部分相當于球面擴散;
(2)除了電極電勢外,還有另外一個狀態變量,這個變量在測量的過程中引起感抗。
2.3 復雜或特殊的電化學體系
對于復雜或特殊的電化學體系,EIS譜的形狀將更加復雜多樣。只用電阻、電容等還不足以描述等效電路,需要引入感抗、常相位元件等其它電化學元件。

3. EIS的數據處理與解析
EIS分析常用的方法:等效電路曲線擬合法
第一步:實驗測定EIS。

第二步:根據電化學體系的特征,利用電化學知識,估計這個系統中可能有哪些個等效電路元件,它們之間有可能怎樣組合,然后提出一個可能的等效電路(一般情況下,可以參考已有文獻)。

第三步:利用專業的EIS分析軟件,對EIS進行曲線擬合。如果擬合的很好,則說明這個等效電路有可能是該系統的等效電路。

最后:利用擬合軟件,可得到體系RW、Rct、Cd以及其它參數, 再利用電化學知識賦予這些等效電路元件以一定的電化學含義,并計算動力學參數。
必須注意:電化學阻抗譜和等效電路之間不存在唯一對應關系,同一個EIS往往可以用多個等效電路來很好的擬合。
具體選擇哪一種等效電路,要考慮等效電路在被側體系中是否有明確的物理意義,能否合理解釋物理過程。這是等效電路曲線擬合分析法的缺點。

來源:鋰電前沿