您當前的位置:檢測資訊 > 科研開發
嘉峪檢測網 2025-06-23 13:18
摘 要:汽車動力總成懸置橡膠結構的疲勞特性很大程度上決定了懸置的使用壽命,從橡膠疲勞壽命的影響因素、預測模型、仿真分析與性能優化、測試4個方面進行歸納,綜述了國內外橡膠疲勞壽命研究的最新進展。介紹了影響橡膠疲勞壽命的因素,論述了橡膠疲勞壽命預測模型及其預測效果,闡述并分析了橡膠疲勞壽命有限元仿真及測試現狀,指出了汽車動力總成懸置橡膠疲勞壽命進一步研究的方向,對其發展趨勢進行了展望。
關鍵詞:橡膠;疲勞壽命;預測模型;分析方法;疲勞測試
引言
汽車動力總成懸置能夠有效隔離動力總成系統產生的振動向車身傳遞[1],車輛的乘坐舒適性、操縱穩定性和行駛安全性等與懸置性能是否優越密切相關[2]。按照懸置零部件的結構與原理,可以將懸置分為傳統橡膠懸置、液壓懸置、半主動懸置和主動懸置[3-5]3大類。與金屬結構、電子元件及粘性液體相比,具有吸收振動能量作用的橡膠是懸置中最薄弱的環節,橡膠主簧疲勞失效所引發的問題是導致懸置損壞的主要原因[6]。橡膠作為一種超彈性材料,變形范圍大、應力應變關系復雜,性能易受外界環境影響,且循環加載時橡膠會發生軟化、結晶[7],這增加了預測橡膠疲勞壽命的難度,國內外學者針對橡膠的疲勞問題進行了廣泛的分析與評估,以提升工作狀態下橡膠隔振器的安全可靠性。Luo等[8]分析了溫度對炭黑填充橡膠疲勞行為的影響,提出基于溫度通過改變撕裂能來影響橡膠制品的疲勞壽命。Yang等[9]研究了不同加載條件對填充丁苯橡膠圓柱形試件疲勞壽命的影響。Tobajas等[10]引入多參數變量,開發了一種研究橡膠材料多軸疲勞的廣義模型。Alshoaibi[11]對疲勞裂紋擴展進行數值分析,預測了不同應力比值下的裂紋擴展路徑、應力強度因子和疲勞壽命周期。Kocjan等[12]在完全松弛單軸載荷條件下對非結晶橡膠化合物進行試驗和數值模擬,提出了數值模擬試驗溫度、將恒頻疲勞壽命曲線轉化為等溫疲勞壽命曲線的方法。根據領域內橡膠疲勞問題的研究現狀,本文將總結影響動力總成懸置橡膠疲勞壽命的因素,綜述建立橡膠疲勞壽命預測模型、疲勞壽命仿真分析、疲勞壽命測試的研究進展,指出橡膠疲勞壽命研究可以繼續改進的方向,最后展望橡膠疲勞壽命研究的發展趨勢。
1. 懸置橡膠疲勞壽命的影響因素
橡膠的疲勞壽命與配方、加工條件、使用環境、加載歷程等多個因素相關。為了使預測的疲勞壽命與實際使用壽命更加吻合,針對橡膠元件疲勞的研究從常溫轉變為高溫或低溫,由幅值恒定、交變應力下的單軸疲勞轉變為幅值變化、載荷隨機作用下的多軸疲勞。
1.1 橡膠本構行為
在重復受載條件下,橡膠會發生應力軟化,可將這一現象表述為如圖1所示的Mullins效應。當橡膠在卸載或施加的載荷小于第一次時,其應力應變路徑都位于加載路徑之下。當再次加載的載荷大于第一次時,加載曲線先沿著第一次的卸載路徑Ⅰ′和路徑Ⅱ上升,隨后沿著路徑Ⅱ′卸載,后續的加卸載過程與上述情況相同[13]。

圖1 Mullins效應曲線
Zhao等[14]發現填充橡膠單軸加卸載時最大應力可部分恢復,熱處理溫度越高,最大應力恢復的能力越顯著。高亮亮等[15]研究了新型熱塑性硫化膠材料的壓縮Mullins效應,發現在第二次單軸循環壓縮時,Mullins效應的回復程度隨熱處理溫度的升高而增大。Allen等[16]研究了氣相硅作為增強填料對復合硅彈性體Mullins應力軟化的影響,并使用了一種結構改性的疏水性二氧化硅作為填料,減少了結構斷裂和Mullins應力軟化。吳偉等[17]探討研究了炭黑含量對Mullins效應的影響,隨著炭黑含量的增加,EPDM硫化膠的Mullins效應表現明顯。
目前廣大學者對于橡膠材料Mullins效應的研究主要集中在可逆恢復程度、填料對其影響程度方面,熱處理溫度越高,Mullins效應的可逆回復程度也隨之顯著提升,炭黑含量增加時,Mullins效應表現明顯。
1.2 橡膠配方及加工條件
在橡膠配方方面,生膠、填料、抗老劑等是影響橡膠材料疲勞性能的主要因素,橡膠配方不同其化學微觀結構也有所不同。在加工條件方面,混煉工藝、硫化設備、硫化時間、硫化溫度等會直接影響橡膠制品的疲勞壽命。
張松峰等[18]通過研究氯丁橡膠的配方及性能發現,純氯丁橡膠比氯丁橡膠與通用膠并用能獲得更高的屈撓疲勞性能。Ji等[19]對比研究了CNT和炭黑對天然橡膠復合材料疲勞性能的影響,隨著炭黑含量的增加,天然橡膠復合材料的疲勞性能得到改善,CNT含量越高,疲勞性能反而有所降低。余本祎等[20]研究發現將N550和N234調整為理論最佳顆粒分布,其炭黑分散性更加優越,膠料的耐磨性得到提升。Huangfu等[21]合成了胺鈍化粗碳點作為天然橡膠抗老劑,分散良好的胺鈍化粗碳點使天然橡膠抗老化性能更加顯著。李曉青等[22]研究發現炭黑用量為60份、硫化溫度為140 ℃、硫化時間為30 min時,工程裝備履帶用橡膠的硬度值和磨耗性能最好。
通過上述研究可知,工業生產中通常選用天然橡膠作為減震橡膠制品的原料,有特殊需要時也選用氯丁橡膠或丁苯橡膠。通常情況下橡膠制品的補強劑是炭黑,可根據減震橡膠制品的疲勞壽命長短要求,少量添加其他填料。分批次加入較難分散的配合劑,或將混煉工藝調整為分段混煉,可以使配合劑更均勻分散。同時要合理制定橡膠硫化工藝,確保橡膠各部位的硫化程度一致。此外,可進一步加強對填料分散程度和交聯網絡等的研究。
1.3 加載歷程
載荷歷程是影響橡膠疲勞壽命的因素之一,它表述了建立疲勞壽命預測模型時損傷參量隨時間的變化情況。當試驗條件與試驗對象相同時,疲勞損傷會隨著加載條件的變化體現出較大的差異性。用于描述載荷條件的應變參數有應變峰值、應變谷值、應變R比、應變谷峰值及應變幅值[23]等,圖2可清晰反映各應變參數的定義。

圖2 正弦加載曲線
其中,應變R比為R=Amin/Amax。
Schieppati等[24]研究了非結晶橡膠的疲勞行為,總結出裂紋擴展的速率與加載頻率相關。Mars、Fatemi等通過研究橡膠試柱在變幅載荷下的疲勞特性發現,橡膠試柱的疲勞壽命隨加載幅值排列形式的不同而表現出差異。段小成等[25]針對啞鈴型圓柱橡膠試件,分析了變幅載荷對疲勞壽命的影響,總結出在變幅加載條件下預測填充天然橡膠疲勞壽命時,Miner線性累計損傷法則較為適用。Chung等[26]提出了變幅載荷下彈性體疲勞壽命的數值預測法,并利用此方法對橡膠懸置的疲勞壽命進行預測。劉治澳等[27]在拉伸次數和拉伸變形量不同的條件下分析了天然橡膠的疲勞性能,拉伸頻率越高,橡膠的疲勞老化現象越嚴重。
當施加的載荷為變幅時,應變R比、加載順序、加載頻率等因素都會影響受載橡膠元件的疲勞壽命。低頻時橡膠機械疲勞破壞的主要原因是分子鏈斷裂,高頻下的疲勞破壞主要由溫度升高后的熱降解引起。
1.4 使用環境
橡膠零部件常在惡劣多變的環境下工作,環境溫度、氧、臭氧、化學物質、光等因素會顯著影響橡膠材料疲勞裂紋的增長。氧化老化也是影響橡膠疲勞特性的因素之一,橡膠材料變硬變脆,從而產生機械疲勞,抵制裂紋擴展的能力逐漸衰退。
任欣[28]研究發現當環境溫度從0 ℃到110 ℃時,天然橡膠的疲勞壽命縮短為1/4,而苯乙烯丁二烯橡膠的疲勞壽命縮短為萬分之一。伍少海等[29]以橡膠
簾線復合材料為研究對象,研究總結出高溫會導致橡膠基體破壞、橡膠與簾線二者的粘合面發生失效,表1是在試驗溫度條件改變時,橡膠
簾線材料的動態粘合性能[29]。

表1 試驗溫度不同時橡膠簾線復合材料的動態粘合性能
注:負荷2.5/3.0 kg,擺幅2 mm,測試頻率13 Hz。
Zheng等[30]選用角鯊烯對天然橡膠的老化過程進行模擬,當天然橡膠發生老化時,橡膠內部的分子網絡被破壞,力學性能減弱。Kamaruddin等[31]研究了裂紋在臭氧氛圍中的擴展情況,應變水平低時形成的裂紋較少,但長度較長,而應變水平高時形成的裂紋較多,而長度相對較短。孫阿彬等[32]將合成的新型防老劑Si-GD用于改性白炭黑并補強天然橡膠,研究表明了Si-GD改性后天然橡膠白炭黑復合材料的撕裂強度、邵氏硬度等明顯增加,采用4份Si-GD的復合材料耐磨性較采用等量Si-69更好。
因此,在惰性環境下,疲勞裂紋擴展的速率會減緩,而在高溫、氧和臭氧環境下,疲勞裂紋增長的速率加快,臭氧比氧的影響更明顯,可通過在橡膠中加入填料的方式降低溫度對橡膠疲勞壽命的影響。
2. 懸置橡膠疲勞壽命預測模型
橡膠材料從完好無損到失效斷裂的過程主要可分為2個階段:第一階段是裂紋形成階段,橡膠裂紋開始萌生;第二階段是裂紋擴展階段,裂紋逐漸擴展至橡膠斷裂。疲勞壽命分析預測方法主要有裂紋萌生法和裂紋擴展法2種。目前大多數裂紋萌生法的研究是以連續介質力學理論為基礎,近年來也有學者從損傷力學角度對橡膠材料的疲勞壽命進行研究;而疲勞裂紋擴展法以斷裂力學理論為基礎。
2.1 橡膠疲勞裂紋萌生壽命預測模型
疲勞裂紋萌生法假定橡膠材料疲勞壽命與材料的某一力學參數存在函數對應關系,通常情況下,該力學參數被叫作疲勞損傷參量[33]。選取并確定疲勞損傷參量是建立疲勞壽命預測模型的關鍵一步,選用不同損傷參量所建立的模型預測準確度有所不同,國內外學者在該領域形成了較多成果。
在以連續介質力學為基礎的裂紋萌生壽命預測中,疲勞裂紋萌生壽命和疲勞損傷參量兩者滿足的冪法則關系為
P=K(Nf)b
(1)
式中:P為疲勞損傷參量;Nf為裂紋萌生壽命;K和b為材料常數。
基于連續損傷力學理論的裂紋萌生壽命是從材料損傷角度來計算的,Kachanov最早提出連續損傷力學理論,并通過該理論解釋了材料的蠕變損傷,之后該理論才被用于預測材料的疲勞損傷壽命。
對于橡膠材料的疲勞研究,通常有4類力學性能參數被用于預測橡膠的疲勞壽命,分別是應變參數、應力參數、能量參數和基于構型應力張量的疲勞損傷參量。Mars和Harbour等[34-35]分別以4種應變參數作為損傷參量預測了天然橡膠和丁苯橡膠的壽命,損傷參量為最大主應變峰值時模型預測效果最好。Luo等[36]將等效應力用在橡膠材料疲勞壽命預測模型中,通過試驗證明了該模型的壽命預測效果較好。上官文斌等[37]分別以4種應變參數、2種應力參數,以及一種能量參數作為預測模型的參量,分析了某橡膠懸置的疲勞壽命,結果表明選用Luo應力、Saintiter應力作為損傷參量能取得更優的預測結果。Verron等[38]研究了橡膠元件受到外加載荷時應變的變化情況,針對橡膠多軸疲勞提出了一種基于應力和應變的新預測模型。Andriyana等[39]研究了基于構型應力張量方法的應用情況,認為該法能全面反映橡膠受載形變的過程,能更好地預測出橡膠疲勞的發生趨勢,適用于橡膠材料的單、多軸疲勞預測。
通過分析發現,選取應變參數作為疲勞損傷參量,預測準確性普遍較低。以應力參數為疲勞損傷參量的預測準確性良好。在選用能量參數作為疲勞損傷參量方面,使用開裂能密度來估算多軸疲勞壽命更具優勢。目前以構型應力張量為基礎研究橡膠疲勞損傷問題的文獻較少,且該方法的應用效果需進一步驗證。
2.2 橡膠疲勞裂紋擴展壽命預測模型
橡膠疲勞裂紋擴展模型是基于斷裂力學理論提出的,假設橡膠元件上已存在長度為C0的初始裂紋,當循環加載時,橡膠元件發生失效破壞,此時裂紋生長至Cf,裂紋從C0擴展至Cf過程中,橡膠元件承受的載荷循環次數即為裂紋擴展壽命,可表述為
N=
1/f(T(c,t))dc
(2)
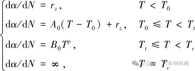
式中:f(T(c,t)為裂紋生長模型; T為撕裂能,它是裂紋長度c和時間t的函數。目前,應用較廣泛的橡膠疲勞裂紋增長模型主要有2大類,一類與時間和溫度無關,如Thomas模型、Lake-Lindley模型、Pairs模型、Mars-Fatemi模型和插值模型等,另一類與時間和溫度相關,例如臭氧攻擊裂紋增長模型、黏彈性斷裂增長模型等。Lake和 Lindley以填充橡膠為試驗對象,在撕裂能比為0的恒幅載荷條件下開展了裂紋擴展試驗,將橡膠裂紋擴展特性劃分為4個階段[33],如圖3所示,其中橫坐標表示撕裂能峰值,縱坐標表示裂紋擴展速率。

圖3 Lake-Lindley橡膠材料裂紋擴展模型
4個階段裂紋增長速率近似表達式為
(3)
式中:dα/dN為裂紋擴展速率;rz為臭氧環境下的裂紋擴展速率;T0為門檻撕裂能; Tt為轉折撕裂能; Tc為臨界撕裂能;A0、B0和p分別為材料的疲勞特性參數。
汪艷萍[40]以配方不同的2種填充型天然橡膠為對象,研究了橡膠的宏觀力學性能和微觀結構,對比分析了用應變能密度和撕裂能2個參數評價橡膠多軸疲勞壽命的效果差異。丁智平等[41]選用撕裂能范圍作為橡膠彈簧疲勞壽命預測的損傷參量,結果表明預測的疲勞壽命是試驗壽命的1.33倍,預測精度較高。Saintier等[42]在裂紋擴展方向等多方面做出了深入研究,得出在單、多軸加載下,裂紋發生的位置與方向主要受最大主應力限制。Wang等[43]利用裂紋擴展法預測了橡膠懸置的壽命,預測壽命結果滿足工程要求,預測的裂紋發生位置和方向與測試結果較吻合。Shangguan等[44]對單切口撕裂橡膠試樣進行了變振幅載荷下的裂紋擴展試驗,建立了裂紋擴展計算模型。王小莉等[45]基于開裂能密度、裂紋擴展特性對某橡膠隔振器的疲勞壽命進行了預測,預測結果與實測結果較一致。Pei等[46]以斷裂力學為基礎,推導出撕裂能和裂紋生長速率二者之間所呈的函數關系。
基于斷裂力學來預測車用橡膠隔振器疲勞壽命的方法目前還有一定局限性,主要受限于準確計算多軸載荷下橡膠的撕裂能。目前,計算裂紋形狀和方位不同時橡膠撕裂能的主要途徑是采用有限元仿真軟件。
3. 懸置橡膠疲勞壽命有限元分析
借助CAE仿真進行橡膠產品的疲勞壽命預測,可以提升研究速率和降低開發成本。近年來,汽車領域越來越多的學者開始采用有限元仿真手段模擬懸置疲勞破壞過程、預測橡膠隔振結構件的疲勞壽命、對懸置結構進行優化設計提升疲勞壽命。橡膠構件疲勞耐久性分析的一般流程如圖4所示[47]。

圖4 橡膠構件疲勞耐久性分析流程
目前對橡膠隔振器進行疲勞壽命有限元分析主要基于ABAQUS、ANSYS、MSC.Marc、Fe-safe、nCode DesignLife等分析軟件。根據疲勞破壞機理,疲勞裂紋產生的主要原因是應力集中,裂紋主要從其應力較為集中的表面邊緣區域開始萌生。可采用有限元仿真手段,首先建立橡膠元件的有限元仿真模型,通過非線性有限元分析,確定橡膠隔振器應力集中的位置,將應力集中位置附近的區域認為是潛在危險區域,通過計算確定出潛在危險區中最小壽命的具體位置,最后預測出橡膠隔振器的疲勞壽命。李明敏等[23]建立了某橡膠懸置的有限元模型,確定了在施加-10.1 mm的位移時,懸置不同位置的對數應變達到最大值,明確了懸置最可能發生疲勞破壞的位置,其仿真得到的應變云圖與標注的危險點如圖5所示[23]。

圖5 對數應變分布云圖
姜紀鑫等[48]通過MSC.Marc軟件預測了發動機橡膠懸置元件裂紋最先可能出現的位置是橡膠邊緣與鋼板結合的部位,同時通過分析最大Green-Lagrange應變與疲勞周期的關系曲線得出隨著懸置橡膠元件最大Green-Lagrange應變的增大,其疲勞周期呈減小的趨勢。姬娜等[49]基于熱力耦合,通過有限元仿真法預測了橡膠支座的疲勞壽命,研究結果表明疲勞壽命預測值與臺架試驗均值誤差為7.5%。劉海東等[50]針對某款SUV橡膠懸置軸套的結構和配方進行優化,對比發現優化后橡膠軸套的應力集中現象減少,疲勞耐久性能有所提高。Xu等[51]利用有限元模型計算了橡膠套筒螺柱剪切連接器的應力和應變狀態,以臨界表面法為基礎對疲勞裂紋的生長壽命進行預測,并基于斷裂力學預測了裂紋的擴展壽命。李龍等[52]通過建立橡膠支座的八分之一有限元模型,分析確定了臨界位置處的格林-拉格朗日應變,結合疲勞試驗確定的疲勞損傷參數,預測了橡膠構件的疲勞壽命。Wada等[53]提出了一種基于非線性時空有限元法的新仿真方法,預測了單個缺口橡膠樣品的疲勞壽命,并通過試驗驗證了該方法的有效性。
總之,運用仿真手段準確預測橡膠元件疲勞性能意義重大,國內外學者在橡膠元件疲勞耐久性有限元分析方面已經取得了一定成績,但在加載過程中橡膠材料會發生應力軟化、應變結晶、蠕變松弛和黏彈滯后,這一系列特性使分析橡膠的真實應力應變狀態變得更加復雜,影響了疲勞有限元分析的準確性,導致了目前疲勞壽命仿真精度不高,進一步提升仿真準確性挑戰性較大。
4. 懸置橡膠疲勞壽命測試
橡膠疲勞壽命測試主要指橡膠材料和橡膠制品疲勞壽命測試。通常,預測橡膠制品的疲勞壽命以材料疲勞試驗為基礎展開,且需要對橡膠制品進行疲勞壽命臺架試驗,驗證產品壽命預測的準確性。
4.1 橡膠材料疲勞壽命試驗
橡膠材料疲勞試驗主要指本構關系試驗與橡膠材料試樣疲勞壽命試驗,一般在產品設計開發初期進行。
橡膠的本構關系試驗指單軸拉伸、等雙軸拉伸和平面拉伸3種[54],如圖6所示,分別表征橡膠在3種不同狀態下的力學行為,通常情況下,橡膠材料受到外加載荷而產生的形變都能由這3種變形的耦合狀態進行表征。

圖6 橡膠本構關系試驗
在特定的試驗環境下,根據橡膠樣片準靜態加載下的應力應變數據擬合出對應的本構模型參數,選取擬合效果較好的超彈性本構模型。張啟宵等[55]分別開展了橡膠材料的單雙軸及平面拉伸試驗,獲取了三元乙丙橡膠材料的應力
應變參數。焦建英[56]在常溫條件下針對2種硫化天然橡膠開展了本構試驗,選用了Yeoh模型來表征橡膠氣囊。
橡膠材料試樣疲勞壽命試驗主要是以橡膠試片、啞鈴型橡膠試柱、環形橡膠試柱、撕裂試樣等為對象,進行疲勞壽命試驗。橡膠試片、啞鈴型橡膠試柱這兩者作為簡易橡膠材料疲勞試件,在試驗過程中,當加載循環達到1 000次、10 000次及24 h后[2]需進行調整。同時,應采用辛普森數值積分方法計算疲勞損傷等效參量,以幾何平均法對試驗得到的疲勞壽命數據進行處理。環形橡膠試柱作為純剪切試件,在加載過程中只能承受輕微的壓縮載荷。撕裂試樣是在裂紋擴展試驗中使用的,在試驗進行前,應當預先在試樣上設置好長度指定的裂紋,使裂紋沿預設裂紋擴展,防止多次分散裂紋或裂紋偏差。試樣的形狀設計是橡膠疲勞試驗中的重要環節,目前相關文獻中涵蓋的試樣形狀在反映橡膠產品工作時的真實載荷方面還有待提升。若試驗條件足夠充分,進行多種類的橡膠材料試驗能夠獲取更充分的橡膠材料數據。常見的材料試驗裝置主要有3種,如圖7所示[57]。

圖7 橡膠材料試驗裝置
4.2 懸置疲勞耐久性測試
汽車動力總成懸置的疲勞耐久性測試是在產品設計完成后針對懸置樣品進行的測試,主要是各大主機廠、企業在項目或產品開發末期進行的橡膠懸置樣件性能合格驗證。主機廠通常在試驗場進行道路試驗,驗證整車的疲勞性能。懸置供應商通常不采用道路試驗法驗證懸置的疲勞性能,在試驗臺架上進行模擬測試,也有部分疲勞領域學者開展懸置的道路模擬臺架試驗[58]。
帕斯卡試驗是在嚴峻惡劣的路況下檢驗整車的疲勞性能,在試驗過程中,不定期觀測懸置有無橡膠剝離、破損、龜裂等。各個主機廠在整車帕斯卡試驗的具體要求上可能會略有差異,通常試驗過程分為2個階段,每個階段進行不同次數的循環,第一階段重點考察底盤操縱性能,第二階段考察動力傳動性能。在試驗臺架上進行懸置疲勞試驗通常有2種方法:一是根據載荷譜進行懸置疲勞試驗;二是按照給定的載荷、固定的試驗頻率等進行疲勞試驗。周兆耀等[59]采集了道路載荷譜,通過遠程參數控制在試驗臺上模擬了懸置處于強化道路環境時的一系列振動特性,證實了試驗的可靠性。胡浩炬等[60]對拉桿懸置橡膠進行試驗,經試驗測得該結構的疲勞壽命為33.8萬次。李先洲等[61]針對液壓懸置進行了疲勞耐久性測試時,針對橡膠主簧開裂這一現象,優化了橡膠主簧,有效提高了懸置的疲勞壽命。
由于試驗周期長、數據處理的工作量大、時間和經濟成本較高等原因,通常按照固定試驗頻率和載荷進行疲勞試驗。從理論上來說,懸置的疲勞測試應在真實的溫度環境中進行。在汽車實際使用過程中因工況和路況等不同,懸置周圍的溫度變化較大,通常采用單一的具有代表性的溫度進行懸置的疲勞耐久測試。在高溫環境下,疲勞試驗次數應少于常溫下的疲勞試驗次數。一般懸置系統的設計壽命應與整車壽命相同。根據以往懸置產品的臺架疲勞試驗要求及其在整車中的疲勞表現,主機廠將修正臺架疲勞試驗方法并提出新的試驗要求[62],因此懸置供應商主要根據主機廠提出的懸置疲勞試驗溫度及其他要求進行疲勞試驗。
針對橡膠材料及懸置進行疲勞試驗與測試是汽車動力總成懸置生產過程中的重要環節,經設計及優化最終測試所得的懸置系統疲勞壽命應當與整車壽命相同,同時懸置疲勞耐久性試驗也可以用來驗證仿真分析方法的正確性,從而促進CAE技術在優化懸置結構、改進懸置性能等領域的應用,提高懸置系統開發的效率。
5. 結論與展望
5.1 結論
1) 影響橡膠制品疲勞耐久性的關鍵因素是膠料配方,此外還有橡膠本構行為、加工條件、使用環境、加載歷程條件等因素。橡膠的Mullins效應隨填料的變化而改變,其可逆恢復程度受熱處理溫度影響。要確定合適的膠種、填充劑的種類和用量,合理設計膠料配方。加載頻率較高時,橡膠內部發生相互作用,使橡膠局部溫度過高、開裂速率加快。橡膠材料的老化速度、裂紋增長速度隨溫度的升高而加快。
2) 在不同的加載條件下,有區別性地選用疲勞預測模型能夠獲得更好的預測效果。單軸、特定多軸或簡單幅值周期性加載時,以連續介質力學為基礎的疲勞裂紋萌生模型預測效果較好;多軸或更復雜情況下,以連續損傷力學為基礎的疲勞裂紋萌生法具有廣泛預測前景。基于斷裂力學的裂紋擴展法需已知裂紋初始尺寸、位置和狀態,目前主要借助有限元軟件計算和分析裂紋的撕裂能。
3) 通過有限元仿真預測橡膠元件疲勞壽命的一般方法確定局部應力或應力集中點,進而確定疲勞發生位置及最小壽命。在利用有限元仿真軟件模擬橡膠材料時,材料自身的非線性、加載后的應力軟化、應變結晶及蠕變松弛等現象會影響有限元仿真模型的準確性,因此,有限元仿真的精度有待進一步提升。
4) 橡膠材料一般的承載變形可以由單軸拉伸、平面拉伸和等雙軸拉伸這3種簡單變形的耦合狀態描述。目前常用的橡膠試樣還不能反映真實橡膠制品工作時的多軸載荷。各大主機廠通常以道路試驗的方式,驗證整車及橡膠懸置的疲勞性能,懸置供應商通常按照固定試驗頻率和載荷針對橡膠懸置進行疲勞臺架試驗。
5.2 展望
橡膠疲勞耐久性的研究今后可從仿真精度的提升、真實工況、氧化老化的仿真模擬這3方面進行。
1) 在提升仿真精度方面,需將溫度、負荷、材料力學行為變化等因素對橡膠制品疲勞壽命的影響考慮進有限元模擬中。深入研究橡膠元件疲勞壽命的頻率、溫度相關性,在表征橡膠材料時,建立與溫度、材料力學行為等因素相關的本構模型,不斷提升疲勞壽命仿真模型的精確度。
2) 在真實工況的模擬方面,深入研究加載條件為多軸變幅載荷、極高載荷時橡膠隔振器的疲勞壽命情況。橡膠隔振器實際的工作過程是多因素復合影響下的復雜、動態過程,可進一步關注橡膠的動態疲勞問題,更真實、全面地反映橡膠隔振器的疲勞破壞過程,準確反映實際橡膠疲勞行為及疲勞壽命。
3) 在氧化老化的仿真模擬方面,可建立老化對橡膠疲勞壽命的定量模型,深入開展橡膠材料氧化老化的模擬研究。橡膠制品經常暴露在不同的環境條件下,溫度和氧氣的升高使橡膠的物理和化學性能發生變化,容易出現熱氧化老化現象,且在老化過程中,橡膠膠料中添加的抗氧化劑會被耗盡,因此迫切需要進一步開展橡膠的防老化研究。
來源:期刊《重慶理工大學學報》 作者:付江華1,2,李婉婷1,江 鑫1,尹亞坤1,申秀敏3(1.重慶理工大學 車輛工程學院, 重慶 400054;2.重慶理工大學 車輛NVH技術研究所, 重慶 400054;3.重慶賽力斯新能源汽車設計院有限公司, 重慶 401135)

來源:Internet