4022 玻璃平均線熱膨脹系數測定法
平均線熱膨脹系數是玻璃重要的物理特性,系指玻璃在一定溫度范圍內,溫度升高1℃,單位長度上的伸長量。本法規定了遠低于轉變溫度的彈性固體玻璃的平均線熱膨脹系數的測定方法。本法適用于各種材質藥用玻璃平均線熱膨脹系數的測定。
測定原理
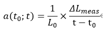
本法是將一定長度的樣品按規定的升溫方式加熱到一定溫度,測定溫度升高后樣品的伸長量,計算出樣品的平均線熱膨脹系數。用式表示為:
式中:t0為初始溫度或基準溫度,℃;
t為供試品加熱后的溫度,℃;
L0為試驗時玻璃供試品在溫度t0時的長度,mm;
L為供試品在溫度t時的長度,mm。
藥用玻璃產品線熱膨脹系數指標的溫度范圍是(20~300℃),則標稱基準溫度t0是20℃,供試品終點溫度t是300℃,也可表示為 a(20℃;300℃)。
儀器裝置
(1)測量裝置(如卡尺),精度為0.1% 。
(2)推桿式膨脹儀(水平或垂直),能測出2×10-5L0的供試品長度變化量(即2μm/100mm)。測長裝置的接觸力不應超過1.0 N。這個力通過平面與球面的接觸起作用,球面的曲率半徑不應小于供試品的直徑,在一些特殊的裝置中需要平行平面。
承載供試品裝置,應確保供試品安放在穩固的位置上,在整個試驗過程中供試品要與推桿軸在同一軸線上,防止有任何微小改變。
(3)加熱爐
加熱爐應與膨脹儀裝置相匹配,其溫度上限要比預期的轉變溫度至少高50℃左右,加熱爐相對于膨脹儀的工作位置在軸向和徑向上應具有0.5 mm以內的重現性。
在試驗溫度范圍內(即上限溫度比最高的預期的轉變溫度tg低150℃并至少為300℃),爐溫應能恒定在±1℃之內。爐溫控制裝置應符合升降速率為5℃/min±1℃/min控制要求。在t0和t溫度范圍內,能準確測定供試品的溫度,誤差應在±1℃之內。
為了核對整個試驗裝置是否在正常的運行,應采用玻璃平均線熱膨脹系數對照物質(國家藥品標準物質)進行校準儀器。
供試品的制備 選取外觀無明顯缺陷的供試品,用機械切割或其他加工的方法制成儀器所需的形狀和尺寸(如供試品可以是直徑為5~6 mm,長度為18~100 mm的圓棒,或滿足儀器要求的其他形狀尺寸),長度L0至少應為膨脹儀測長裝置的分辨率的5×104倍。
注:供試品在試驗前應退火:將供試品加熱到比轉變溫度高大約30℃,然后以2℃/min的速率將供試品冷至比轉變溫度低大約150℃,在無通風的條件下將供試品進一步冷卻至室溫。
測定法
(1)試驗溫度范圍的選擇
根據實際原因,標稱基準溫度一般為18℃≤t0≤28℃,終點溫度一般為290℃≤t≤310℃。溫度和溫差讀數精度均應為±1℃,雖然在結果表示的實際計算中應使用溫度的實際測量值,但是試驗范圍的標識用標稱溫度表示。對于用標稱溫度表示的給定系數a(20℃;300℃),只要所選的實際溫度在規定的限度內,系數所受影響可以小到忽略不計。
(2)基準長度的測定
在基準溫度t0時,測定退過火的供試品的基準長度L0,然后放供試品在膨脹儀內,穩定5 min以上。
(3)試驗方法一:升溫試驗
在初始溫度為t0時確定膨脹儀的位置,并將這個讀數作為將要測量的未校正的長度變化量ΔLmeas的零點,然后將加熱爐按照所需的加熱程序開始升溫。記錄溫度t和相應的長度變化量ΔLmeas直到達到所需要的終點溫度。除另有規定外,升溫速率應不超過5℃/min。
(4)試驗方法二:恒溫試驗
在初始溫度為t0時確定膨脹儀的位置,并將這個讀數作為將要測量的未校正的長度變化量ΔLmeass的零點,然后加熱使爐溫達到所選擇的終點溫度t,并保持爐溫恒定到t±1℃,20 min后從膨脹儀上讀取ΔLmeas的值。
注:雖然升溫試驗能夠在試驗進行中測定各種溫度t的系數a(t0 ;t),如果只要求一個終點溫度t時,應優先采用恒溫試驗,因為這個試驗能提供比較好的精度。
結果計算和表示

式中 a(t0 ;t)為供試品的平均線熱膨脹系數
t0為初始溫度或基準溫度,℃;
t為供試品加熱后的溫度,℃;
L0為試驗時玻璃供試品在溫度t0時的長度,mm;
ΔLmeas 為供試品在溫度t時修正后的長度變化量,mm。
注:由于承載供試品的裝置在測量升溫過程中會發生相應的熱膨脹,升溫過程中測量溫度的測量點和試驗供試品之間存在溫差,儀器測量系統應按儀器提供的方法進行修正。
計算兩個供試品的a(t0 ;t),一般t,0 為20℃,t為300℃,a表示為(20℃;300℃)如果a(20℃;300℃)<10×10-6K-1取兩位有效數字,如果a(20℃;300℃)≥10×10-6K-1取三位有效數字。
如果兩個供試品的測定結果偏差不大于0.2×10-6K-1,取算術平均值。否則,須取另外兩個供試品重做試驗。
起草單位:中國食品藥品檢定研究院 聯系電話:010-67095110
參與單位:中國醫藥包裝協會、上海醫藥工業研究院藥品包裝材料科研檢驗中心、北京市藥品包裝材料檢驗所、山東省醫療器械和藥品包裝檢驗研究院、山西省藥品檢驗所、江西省藥品檢驗檢測研究院、四川省藥品檢驗研究院、浙江省食品藥品檢驗研究院、深圳市藥品檢驗研究院、山東省藥用玻璃股份有限公司、成都平原尼普洛藥業包裝有限公司、雙峰格雷斯海姆醫藥玻璃(丹陽)有限公司、重慶正川醫藥包裝材料股份有限公司、滄州四星玻璃股份有限公司、山東力諾特種玻璃股份有限公司、寧波正力藥品包裝有限公司、肖特玻管(浙江)有限公司
玻璃平均線熱膨脹系數測定法起草說明
一、制修訂的目的意義
1. 平均線熱膨脹系數測定法適用于各種材質藥用玻璃平均線熱膨脹系數的測定。不僅決定盛裝藥品的玻璃容器在高溫滅菌、低溫冷凍等過程中能否承受溫度的變化,同時還與玻璃的組成和結構密切相關,因此玻璃生產中常用監測線熱膨脹系數的手段控制玻璃配方的變化,也是玻璃材質分類鑒別的重要指標。因此考察玻璃平均線熱膨脹系數是非常有必要的。
2.形成“玻璃平均線熱膨脹系數測定法”方法標準,科學有效指導玻璃平均線熱膨脹系數的測定。
二、制修訂的總體思路
遵循藥典委對藥包材標準體系的架構思路,參考國家藥包材標準《平均線熱膨脹系數測定法》YBB00202003-2015、國家GB標準《平均線熱膨脹系數的測定》GB/T 16920-2015 與ISO標準《Glass-Determination of coefficient of mean linear thermal expansion》ISO 7991-1987的標準比對,收集了在日常試驗時存在的問題,參考標準比對,增加該檢測方法的可操作性,完善本測定法。
三、需重點說明的問題
本標準是新增方法標準,確定的主要內容是:
1. 名稱:參照《中國藥典》2020年版及命名原則,刪除拼音及英文名稱,修改為“玻璃平均線熱膨脹系數測定法”。
2. 正文
2.1參照《中國藥典》2020年版進行格式文字修訂。
2.2 儀器裝置:參照GB/T 16920-2015 與ISO 7981-1987標準,將“溫度測定裝置能夠準確測量溫度±2℃”修訂為“溫度測定裝置能夠準確測量溫度±1℃”。
2.3供試品的制備:根據儀器不同,需要制備不同供試品,故增加“用機械切割或其他加工的方法制成儀器所需的形狀和尺寸”。另修改了注,增加“(1)供試品在試驗前應退火”,修改了“(2)供試品的形狀和尺寸:供試品可以是直徑為5 mm,長度為25~100 mm的圓棒,也可以是截面為5 mm×5 mm、長度為25~100 mm的正方形棒,也可以是樣品本身。”
2.4參照《中國藥典》2020年版進行格式文字修訂,刪除結果的計算和表示。