隔振問題主要分為兩類:主動隔振和被動隔振。下面分別就兩類問題的隔振原理進行討論。
被動隔振
被動隔振主要目的是減小地基位移激振對儀器的影響,即較小儀器端位移的幅值,如下圖所示。火箭運輸車,高級轎車,飛行器支架上的儀器等,需要關注受支撐位移激勵作用的振動問題,將位移激振進行隔離。被動隔振系數定義:為隔振后傳至儀器的位移幅值與隔振前傳至儀器的位移幅之比。

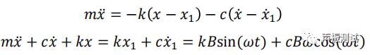
假設基礎位移為 X1(t) =Bsin(ωt) ;
根據牛頓第二定律:
特解形式仍可假設為
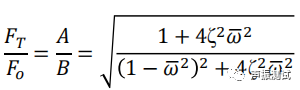
隔振效果主要關注振幅被放大情況,穩態位移響應的振幅A除以位移激勵幅度B為隔振系數,如下所示:
畫出不同阻尼比情況下,振幅比隨頻率比變化的曲線:

(1)當頻率比等于根號2時,振幅比等于1,且不依賴于阻尼比。
(2)當頻率比大于根號2時,振幅比小于1,有隔振效果,且阻尼越小越好,高頻比低頻隔振效果好。
主動隔振
將作為振源的機器設備與地基進行隔離,以減少儀器對環境的影響稱為主動隔振,如下圖所示。隔振目標將振源與周圍環境隔開,減小力的幅值,不讓激振力傳遞到基礎上。主動隔振系數為隔振后傳至地基的力幅值與隔振前傳至地基的力幅之比。
原始激勵力為Q,傳遞到基礎上的兩個力:
彈性恢復力:F=kx=kAsin(ωt-α)
阻尼力:R=cv=cAωcos(ωt-α)
相位差為90度,合力幅值應為:

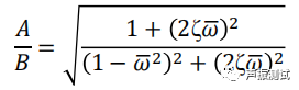
傳遞到基礎上的合力與振源力幅比為隔振系數:

通過上面分析可以發現雖然主動隔振和被動隔振的原理有所不同,但最后得到的隔振系數的表達式是相同的。因此,隔振設計準則:只有頻率比大于根號2時才能起到隔振的效果。
