長輸油氣管道常修建于滑坡、地震等地質災害多發區域,地質災害導致的管道位移、變形,局部管體彎曲應變會對管道造成較大損傷,故需對該區域管道的位移、變形進行定期檢測,以避免管道失效。
常規無損檢測技術如超聲、漏磁、渦流和磁粉等,在管道的損傷檢測和事故預防等方面發揮著重要的作用,但尚不能對管道所受彎曲應力進行有效評價與定量,目前對油氣管道受力狀態的分析普遍采用間接計算的方式。對油氣管道進行受力狀態實時監測是油氣管道檢測領域中的熱點問題,其理論成果將提高長輸油氣管道安全性評價的整體分析水平。磁彈性應力檢測技術具有信號不易受環境影響、可識別能力較強、測量速度快、無輻射危險、非接觸測量等優點,在管道彎曲應力檢測中具有很好的研究價值和應用前景。
沈陽工業大學和國家管網集團油氣調控中心的研究人員以彎曲狀態下Q235鋼板為研究對象,基于磁彈性應力檢測法,分析了磁彈性傳感器檢測回路中的磁阻與阻抗,研究了鋼板彎曲狀態下的受力情況,驗證了彎曲狀態下阻抗與應力的變化關系,從而為管道彎曲應力檢測提供新思路。
磁彈性檢測法以磁彈效應為理論基礎,即鐵磁材料在應力的作用下,磁疇壁會發生偏轉與位移,偏轉過程中磁疇內部能量不斷變換引起鐵磁材料磁導率或磁阻的變化。
磁彈性檢測法采用結構簡單且測量效果較好的二磁極U型傳感器,U型磁芯的兩端分別纏繞勵磁線圈和檢測線圈,對激勵線圈施加交變電流使其產生磁場,傳感器與待測鐵磁性材料形成閉合的磁回路,并由檢測線圈測量輸出的感應電壓情況。磁彈性應力檢測原理如圖1所示。
圖1 磁彈性應力檢測原理
根據磁彈效應,待測鐵磁性材料受到外力F作用時,其磁導率μ發生變化使得回路中磁阻R發生改變,從而引起磁通量Φ的變化,導致檢測線圈中感應電壓發生改變。磁彈性應力檢測技術就是確定出感應電壓與應力變化的關系式,實現對被測試件的應力檢測。
磁路與阻抗分析
假設檢測過程中傳感器磁路內部磁場均勻,磁路的磁感應強度B為:
(1)
式中:I為感應電流;l為有效磁回路的長度;N為線圈匝數;H為磁場強度。
感應磁通量為:
(2)
式中:A為磁路有效面積。此時,磁阻為:
(3)
對線圈輸入交流磁化電流,磁感應強度B比H落后一個相角δ,則磁感應強度B為:
(4)
式中:Bm為最大磁感應強度;ω為磁化電流角速度;t為時間。
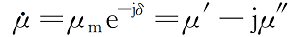
將感應電流、磁場強度、磁感應強度以復數的形式表示,則復數磁導率為:
(5)
式中:μ′與μ″分別為磁導率的實部與虛部。
(6)
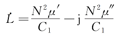
復數電感則為:
(7)
式中:C1為磁芯常數。由式(5)與式(7)可得:
(8)
纏繞在磁芯上的電感線圈對與正弦信號產生的阻抗為:
(9)
從理論推導可以得出,磁彈性傳感器的阻抗與其磁導率有關,檢測過程中磁彈性傳感器磁回路由傳感器本身與待測物體兩部分組成,檢測回路中的磁導率μ由傳感器磁導率μ1及待測物體磁導率μ2組成,即μ=μ1+μ2。當應力導致待測物體磁導率變化時,回路整體磁導率受到影響,通過測量檢測回路中的阻抗等相關系數對鐵磁性材料所受應力進行間接測量。
彎曲變形下的應力分析
為探究鐵磁性材料彎曲過程中應力對阻抗的影響,搭建試驗平臺以固定支撐待測物體兩端,并從中間位置對待測物體施加垂直向下的外力使其產生彈性變形,分析管道受力情況,受力情況如圖2所示。
圖2 待測物體受力簡圖
由圖2可見,在外力F的作用下,高為h的待測物體向下發生彎曲,沿橫截面高度(從底面到頂面),物體纖維狀態逐漸從拉伸變為壓縮,中間不發生形變的部分稱為中性層,截取位于左端點距離為x,長度為dx的一段進行分析,m、m1、n1、n分別為截取部分各端點。
設截面m-n和m1-n1上的彎矩分別為M和M+dM,從平行于中性層且距中性層為y的pr平面處截取出一部分,其受力如圖3所示。
圖3 待測物體截面應力示意
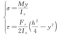
彎矩M引起的正應力作用于截出部分左側面rn上,彎矩M+dM引起的正應力作用于右側面pn1上,頂面pr受到切應力τ′,3種應力都平行于x軸。由右側面pn1所受正應力σ組成的合力FN2為:
(10)
式中:A1為pn1截面面積;Iz為慣性矩;y1為微元dA距中性層的距離;S*z為橫截面的部分面積A1對中性軸的靜矩。
同理可以求得左側面rn上的合力FN1為:
(11)
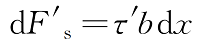
頂面rp上切應力合力為:
(12)
式中:b為受力區域寬度。將FN2,FN1和dF′s的表達式代入力學平衡方程,化簡后得到:
(13)
式中:Fs為橫截面上的剪力。矩形截面可取dA=bdy1,S*z可化為:
(14)
矩形截面材料彎曲狀態下正應力σ與切應力τ可表示為:
(15)
即當待測物體向下彎曲時,正應力σ沿橫截面高度(從底面到頂面)由正(拉應力)變為負(壓應力),切應力τ按拋物線規律變化,界面上下邊緣的各點處切應力等于零。因此待測物體在界面邊緣處的磁導率變化主要受正應力影響,中性層附近的磁導率變化主要受切應力影響。
試驗及數據分析
為驗證所提方法的有效性,搭建試驗平臺,采用自制磁彈性傳感器,搭載IM3570型分析儀作為磁化電流輸出端與感應電壓接收端,磁彈性傳感器采用U型結構,U型磁芯左右兩端各纏繞1000匝線圈作為激勵與感應線圈。
為便于探究管道彎曲過程中的應力影響,采用埋地輸油管道常用的Q235鋼板作為檢測對象,試驗鋼板長1300 mm,寬150 mm,厚5 mm,搭建試驗加載裝置,采用三點彎曲的方式在Q235鋼板中間部位施加垂直向下的荷載,受力區域為圖4所示陰影范圍。
圖4 磁彈性應力檢測傳感器與受力位置示意
由圖4可見,受力區域沿寬度方向位于鋼板中線處,距離d表示磁彈性探頭移動位置后,探頭中心點與鋼板中線的距離,撓度f表示鋼板中線位置受外力作用產生的垂直向下位移。
1、鋼板上下表面阻抗分析
為進一步分析管道內外壁受力情況的差異,研究管道彎曲的具體情況,分別對鋼板上下表面中心位置阻抗進行測量與分析。
將磁彈性傳感器置于鋼板上表面,傳感器方向與鋼板長度方向相同,置于受力區域上方并處在鋼板正中心位置。為確保Q235鋼板處于彈性范圍,試驗過程中外力F為0~500 N,加載步長為100 N。
由于勵磁頻率與磁化深度呈負相關,為避免鐵磁性材料不完全磁化以及渦流效應的影響,更好地獲得阻抗與彎曲應力間的關系,試驗采用2 mA的激勵電流以及200 Hz的激勵頻率對鋼板進行磁化,根據趨膚效應定理:
(16)
式中:D為檢測深度;ξ為材料電導率;μ0為真空磁導率;μr為材料相對磁導率;f為交流激勵頻率。
在應力增大的過程中μr不斷增大,檢測深度相應減小,初始狀態下檢測深度小于1.6 mm,當應力達到最大值時,檢測深度小于0.6 mm,檢測結果反映了磁彈性傳感器所在位置近表面區域的應力狀況。對逐步施加外力的Q235鋼板進行阻抗測量,結果如表1所示。
表1 鋼板上表面中心位置的阻抗檢測結果
表1數據表明,在外力加載過程中,鋼板上表面阻抗始終隨應力的增加而下降,阻抗變化率隨應力的增加先增大后減小。
為研究鋼板彎曲過程中下表面應力狀態對阻抗、相角測量結果的影響,將磁彈性傳感器放置于鋼板下表面中心位置,采用2 mA的激勵電流以及200 Hz的激勵頻率對鋼板進行磁化,檢測鋼板下表面阻抗隨應力的變化情況,結果如表2所示。
表2 鋼板下表面中心位置的阻抗檢測結果
表2數據表明,鋼板下表面阻抗隨應力增加持續下降。將表1和表2中阻抗與相角隨應力的變化情況繪制成折線圖,結果如圖5所示。
圖5 鋼板上下表面阻抗與相角隨應力的變化曲線
圖5(a)表明鋼板上下表面阻抗與應力均具有近似線性的關系,在相同電流強度、頻率、應力數值的情況下,下表面阻抗測量值高于上表面阻抗測量值,阻抗的變化率普遍更高。
圖5(b)表明鋼板下表面相角隨應力的增大均勻上升,變化幅度大于上表面測量值的變化幅度。受趨膚效應影響,檢測回路中磁通多靠近鋼板表面傳導,而切應力在表面附近趨近于零,因此引起上下表面阻抗與相角差異的主要因素為正應力。
圖5曲線表明管道在受外力作用向下產生彎曲的過程中,上半部分外壁比內壁承受更多的彎曲應力,更易產生破損。
2、檢測位置影響分析
為研究管道彎曲對一定距離范圍內管道應力狀況的影響,進行磁彈性傳感器不同位置下的應力-阻抗試驗。試驗方法為:在外力為500 N的情況下將磁彈性傳感器置于鋼板上表面,沿鋼板長度方向平移磁彈性傳感器,以20 mm為步長在20~200 mm內共進行10次檢測,檢測采用2 mA,200 Hz的激勵電流進行,得到阻抗隨位置的變化情況如表3所示。
表3 外力作用下鋼板各位置的阻抗檢測結果
表3數據表明,在500 N外力作用下阻抗檢測結果隨距離d增加而增大,根據彎曲變形下的應力分析,鋼板在受力區域附近產生的應力較大,隨著與受力區域間距離的增加,鋼板內部的應力逐漸降低,阻抗應隨應力的降低而升高。試驗結果與受力情況基本一致,且在200 mm內均能檢測到應力變化。
為避免材料不均勻性、鋼板自重及其他因素帶來的影響,對不受外力影響時各位置的阻抗進行測量,結果如表4所示。
表4 無外力作用下鋼板各位置的阻抗檢測結果
表4數據表明,在無外力作用下阻抗測量值與距離d之間并無明顯關系,受鋼板自身重力影響,靠近中心位置的阻抗測量值普遍略低。將表3阻抗隨應力的變化情況繪制成折線圖,如圖6(a)所示;為反映不受材料因素影響只受應力影響的阻抗變化規律,計算表3與表4阻抗差值并按對應順序繪制在圖6(b)中。
圖6 鋼板各位置阻抗數值分析曲線
圖6(a)表明鋼板受500 N外力作用時,應力隨距離的增加逐漸降低,阻抗隨應力的變化較為均勻。圖6(b)表明在不受材料因素影響只受應力影響的情況下,阻抗變化量總體上隨應力的增加而增大,驗證了一定距離范圍內彎曲應力檢測結果的有效性。
結論
(1) 在鋼板中線位置垂直向下施加外力的過程中,鋼板上下表面阻抗隨應力的增加呈明顯下降趨勢;對處于特定范圍內的外力與形變量,檢測回路中的阻抗與應力具有近似線性的對應關系。
(2) 在距離受力區域一定范圍內仍能檢測到鋼板阻抗隨應力的變化,應力隨距離的增加而減小,阻抗也隨之呈下降趨勢。
(3) 應用阻抗與應力間的線性關系可以實現Q235鋼構件的彎曲應力檢測,阻抗隨檢測位置的變化關系有助于完善埋地管道彎曲狀況及位置信息,為埋地油氣管道彎曲應力檢測提供了新的思路。
