天然氣是制造業和住宅中燃料或原材料的重要來源,占全球總能耗的24%,管道在天然氣的運輸、收集和分配中至關重要。據統計,到2025年,我國油氣長輸管道規劃里程數將達到24萬公里,“十四五”期間,油氣長輸管道規劃新增里程數將達到7.1萬公里。
受管道建設質量不符合規范、腐蝕磨損、人為破壞、突發性自然災害(地震、泥石流)等因素影響,在壓差的作用下,管道中的化學氣體易發生泄漏,對人類環境、生產生活、生命財產安全造成破壞性的影響。因此,對輸氣管道進行泄漏檢測和定位,不僅對輸氣管道的安全運行管理具有經濟意義,還對國民經濟發展具有重大的現實意義。
輸氣管道泄漏檢測方法主要有氦質譜法、負壓波法、紅外檢測法、聲波法等。氦質譜法適用于密封管道,測試系統簡單,但是其檢測周期長,需要重復充放氣且受限于檢測結構的體積;負壓波法具有部署速度和響應迅速快的優點,可及時發現突發性管道泄漏,但是由于環境對小流量、小范圍的緩慢泄漏敏感度差,易出現漏檢、誤判;紅外氣體成像檢測可實現泄漏源的可視化,實現非接觸成像檢測,但是障礙物會影響成像造成漏檢。
近幾年聲波法由于靈敏度高、成本低、定位精度高、誤報率低、適應性強在輸氣管道泄漏檢測中得到了廣泛運用。聲波法可以檢測到管道泄漏的微弱動態壓力波,響應頻率高,檢測范圍寬。按頻率范圍分類,氣體管道泄漏聲波可以分為次聲波信號、聲發射信號、超聲波信號。次聲波不受管道材料的影響,傳播距離較遠,在非金屬泄漏檢測中應用較多。泄漏聲發射信號頻率范圍較廣,當泄漏尺寸較小且雷諾數較高時,泄漏氣體與附近空氣混合形成湍流,湍流處產生聲波,當空氣中傳播的聲波振動頻率高于20 kHz時,便產生空載超聲波。
一、輸氣管道泄漏聲波識別方法
1、基于信號處理的泄漏識別方法
常用的泄漏聲波信號處理方法主要有小波分析、小波包分析、經驗模態分解、變分模態分解、盲源分離法等。
小波變換可以觀察到泄漏信號的局部特征,具有對泄漏信號在時頻域進行多分辨分析和重構的能力,因此在管道泄漏識別中運用頗多。小波分析對高噪聲環境中的管道聲發射泄漏信號去噪效果良好,對低頻信號分析有明顯優勢,但對高頻信號的去噪效果不良,小波包則彌補了這一缺點。小波(包)的基函數、分解層數對泄漏信號去噪效果影響很大,選取的分解層數過大或過小,都可能造成泄漏信號去噪不足或信號失真,探究最優的小波(包)基函數對處理泄漏信號的意義重大。
經驗模態分解(EMD)對非平穩泄漏信號的分析效果顯著,通過提取與管道泄漏相關的特征信息,來判別管道是否泄漏,與小波分析相比,其不需要選擇合適的基函數,具有自適應的特點,但是在處理泄漏信號時,該方法容易產生端點效應和模態混疊問題,為解決這一問題,國內外學者開展了大量研究。
MENG等提出使用集合經驗模態分解方法(EEMD)和互譜分析同時對泄漏聲波信號和負壓波信號進行降噪,該方法不僅抑制了模態混疊,還解決了聲波法易受噪聲干擾而出現誤報的問題。
此后還有學者提出用變分模態分解(VMD)解決經驗模態分解對噪聲敏感和端點效應的問題,VMD方法具有更強的噪聲魯棒性和弱化端點效應的能力,但是其需要經驗知識選擇模態分解層數和懲罰因子(沒有相應的準則),經常需要優化VMD參數對泄漏聲波信號進行降噪和特征提取。
HAO等提出了一種優化VMD分解層數參數的算法,對管道多點泄漏信號進行定位,減少弱相關性和噪聲的影響。
還有學者提出將VMD法與其他算法結合對泄漏信號進行降噪,DIAO等提出粒子群優化(PSO)算法與VMD結合,用以優化懲罰因子等控制參數去除背景噪聲。
上述時頻分析方法對泄漏信號進行降噪時,傳感器采集的泄漏信號信息與噪聲特性是已知的,但是在實際燃氣管道工況中,環境干擾噪聲類型較多,且噪聲信號強度多大于泄漏信號強度,增加了提取泄漏信號特征的難度。
盲源分離技術可以分離出泄漏信號中無法直接觀測到的未知原始信號,且不需要過多的先驗知識,適應能力強,其原理如圖1所示。
圖1 盲源分離技術原理示意
盲源分離能夠將泄漏信號和噪聲分離,實現對泄漏聲波信號的濾波。在該方法的實際應用過程中,快速獨立成分分析(FastICA)由于計算過程較為簡便,收斂速度快等優點得到廣泛應用。
劉光曉等通過快速獨立成分分析算法對輸氣泄漏聲波信號進行分離濾波處理,證明了盲源分離技術具有較好的濾波效果和適用性。
當對長輸管道泄漏進行檢測時,可能會產生數百個聲波信號,參數量和計算速度要求超出了傳統盲源分離系統的能力,DANKERS等使用稀疏估計技術結合盲源分離技術改善聲學泄漏檢測系統,減少估計參數和計算時間,更容易在測量數據中找到聲學泄漏事件。
盲源分離雖然能彌補一些時頻分析方法的不足,可以在輸入聲源信息和先驗知識較少時對泄漏進行識別,且具有良好的信噪比,但其使用時有原始泄漏信號之間相對獨立、觀測泄漏信號數目要不小于原始泄漏信號數目、原始泄漏信號中最多只有一個泄漏信號滿足高斯分布等限制條件。在泄漏信號采集過程中,外部干擾信號易耦合到管壁中,因此,如何有效分離泄漏信號和干擾信號,又能保證計算速度快、精度高成為進一步需要研究的問題。
2、基于智能算法的泄漏識別方法
2.1 支持向量機
支持向量機(SVM)是一種基于統計理論的機器學習算法,泛化能力強,可以解決小樣本、非線性核高緯模式識別問題,其泄漏識別原理如圖2所示。
圖2 支持向量機泄漏檢測原理示意
SVM將訓練數據向高維空間投影,其識別泄漏信號性能與核函數和懲罰系數的選擇有緊密關系,YU等分別選取了高斯徑向基(RBF)核、線性核、多項式核、Sigmoid核等4個核函數分別對泄漏信號進行識別,結果表明基于高斯RBF核函數的SVM算法的識別精度最高。相比其他3種核函數,RBF核函數訓練時間和測試時間更短,總體泄漏識別準確性更高,因此基于RBF核函數的支持向量機常被用于泄漏識別中。
BANJARA等進一步探索基于RBF內核的SVM和相關向量機(RVM)機器學習算法,發現與RVM算法相比,SVM對于泄漏信號的識別精確度更高。BANJARA等提取的是泄漏聲波的時域特征,并未在頻域上對泄漏聲波特征進行分析。
XIAO等提出了一種基于支持向量機與小波變換的融合聲學泄漏檢測方法,提取管道泄漏的時頻特征,將其作為訓練SVM分類器的輸入進行泄漏識別,精度可以達到95.6%。基于支持向量機框架,最小二乘支持向量機(LS-SVM)、改進的粒子群優化算法(SMDPSO)-SVM等算法對支持向量機參數進行優化,提高了SVM的泛化學習能力。
綜上所述,支持向量機對小樣本數據以及非線性情況下的信號處理有獨特優勢,可以對管道泄漏進行較準確地判別,但是該算法在核函數和懲罰參數的選擇上沒有固定準則,往往需要靠經驗、試湊等方法進行選擇,粒子群算法、灰狼算法等一系列優化算法往往與支持向量機結合,使其在參數選擇上更加合理,提高了管道泄漏識別精度。
2.2 神經網絡
利用泄漏信號隱藏的深層特征,實現特征的自動提取,探究適用范圍大,泛化能力強的泄漏檢測方法是目前的熱點問題。基于神經網絡的泄漏識別原理如圖3所示。
圖3 基于神經網絡的泄漏識別原理示意
卷積神經網絡(CNN)應用于管道泄漏聲波信號識別優勢明顯, 卷積核通過位于不同位置的圖像塊進行卷積運算,對泄漏聲波的有效特征進行提取和識別,卷積核的形狀一般為正方形,不同的卷積核尺寸與CNN模型性能有著密切關系。
寧方立等對卷積神經網絡進行改進,提出使用扁橫狀卷積核對泄漏超聲信號進行識別,較傳統CNN模型有更高的識別精度。
為了驗證CNN模型與其他神經網絡模型對于泄漏聲波信號特征提取的能力,部分學者考慮了管道運行條件等因素,WANG等提出一種基于內核主成分分析(KPCA)-卷積神經網絡的泄漏識別模型,考慮出入口壓力數據,提取了泄漏信號的時頻特征和能量特征,將識別結果與ANN,KNN,SVM等機器學習模型的結果進行比較,其中KPCA-CNN模型的各項識別指標均達到100%。輸氣管道早期泄漏時,泄漏流量低于輸送流量標準的1.2%稱為小泄漏,CNN模型在小泄漏信號識別上有明顯優勢。
針對小泄漏信號易被噪聲淹沒的問題,孟慶旭等提出將殘差收縮模塊添加到CNN模型中,能減小甚至消除輸入樣本噪聲對訓練造成的誤差,可有效降低不同噪聲對識別結果的影響。但是孟慶旭等僅對高斯白噪聲和排風機為主的模擬噪聲源進行了分析,未對其他類型噪聲進行分析。
CNN雖然對于泄漏聲波特征提取有著良好的性能,但是其所需數據量較大,數據冗余,占用存儲空間,在實際工業生產應用時適用性較差。
為了解決這個問題,孫潔娣等提出一種基于多卷積稠密塊的輕量級神經網絡,引入注意力機制改善管道泄漏特征的區分能力,結果表明,提出的方法識別準確率達到了96.69%,參數量僅為781 kB,實時響應能力快,減小了泄漏檢測系統的資源要求,為神經網絡泄漏識別的實際應用提供了一種思路。
神經網絡模型可以自動選擇和提取泄漏聲波信號的某些特征,但是需要訓練的數據量較大,由于泄漏聲波信號處于高噪聲環境下,識別困難,在實際應用中,提高識別和定位準確率的同時,也要求提高實時響應能力。上述管道泄漏識別方法的優缺點對比如下:
小波(包)分析法
優點:可以觀察到泄漏信號的局部特征,區分信號和噪聲具有明顯優勢
缺點:去噪效果與選取的小波(包)基函數和小波(包)分解層數有關
經驗模態分解法
優點:具有很強的自適應性,處理非線性、非平穩泄漏信號具有優勢
缺點:具有端點效應和和模態混疊問題
變分模態分解法
優點:解決了EMD方法中的端點效應和模態混疊問題,模態分量更加清晰
缺點:選擇k參數和懲罰因子α沒有相應的準則,需要經驗知識
盲源分離法
優點:所需要的先驗條件少,適應能力強
缺點:選取的目標函數和優化算法對于系統矩陣的求解影響很大
支持向量機法
優點:可以解決小樣本、非線性和高緯模式識別問題
缺點:懲罰參數c和核函數參數g對于SVM的分類精度有重要影響
神經網絡法
優點:可以利用泄漏信號隱藏的深層特征,實現泄漏信號的特征的提取
缺點:泄漏量較小時,識別能力降低;高噪聲環境下無法檢出信號特征
二、輸氣管道泄漏聲波定位方法
1、基于時延估計的泄漏定位方法
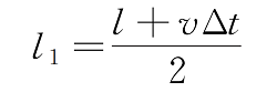
當管道發生泄漏時,管道的上游傳感器和下游傳感器分別檢測到包含泄漏信息的聲波,可以根據時延定位公式計算出泄漏點的位置,原理如圖4所示。
圖4 基于時延估計的泄漏定位原理
發生泄漏的位置與傳感器A的距離l1為:
式中:l為上下游傳感器之間的距離;v為泄漏聲波傳播速度;Δt為泄漏信號之間的時間差。
在實際管道工況中,管道長度l已知,關鍵問題就是準確獲取時間差和傳播速度v。KOUSIOPOULOS等提出了基于互相關技術的3種不同的時間延遲估計方法(互相關、廣義互相關、廣義互相關-Roth),驗證在高噪聲下識別泄漏位置的準確性。
上述方法在時域上對泄漏信號進行互相關定位,還有學者在頻域上對泄漏信號進行互相關分析,李帥永等提取泄漏信號互相關函數的時頻譜信息,能有效抑制泄漏信號的頻散,與傳統的互相關泄漏定位相比,定位誤差大大降低。
無論在時域上還是在頻域上分析聲波信號,用時延估計方法定位時,獲取的時間差和管道內的聲波傳播速度是影響定位精度的主要參數。
泄漏聲波在管道內傳播時,不僅會引起壓力和溫度的變化,還會在管道內發生折射和散射造成傳播速度的不穩定,除此之外,為了保證管道兩端泄漏信號檢測的同時性,需要使用GPS(全球定位系統)時鐘來確保測量泄漏信號的一致性,但該措施增加了成本,因此準確得到時間延遲并提高定位精度往往很困難,對時延方法進行改進或探究一種不需要時間延遲和速度進行泄漏定位的方法成為目前需要解決的問題。
2、基于聲波衰減的泄漏定位方法
當管道發生泄漏時,泄漏處產生連續的聲發射信號而且其頻率成分非常豐富,這些信號在實際傳播過程中,包含多種模態,受到散射、反射、折射和模式轉換的影響,衰減極大。聲波在管道中傳播時,振幅和壓強會呈指數規律衰減,衰減公式為:
式中:p(x)為泄漏聲波信號傳播一定距離后的壓強;x為聲波傳播距離;p0為聲波的振幅;α為幅值衰減系數。
國內外專家、學者對泄漏聲波衰減特性展開了大量工作和研究,目前研究集中于從氣體聲學和流體動力學角度出發,探究泄漏聲波的產生和衰減特性,并應用于泄漏聲波信號定位研究。
泄漏聲波的產生機理主要由Lighthill波動方程和FW-H方程解釋,輸氣管道泄漏聲波以四極子聲源和偶極子聲源為主,渦流是泄漏聲波產生的根本原因。
2015年,劉翠偉對泄漏聲波定位技術進行了深入研究,提出聲波幅值衰減公式,可以有效定位天然氣管道泄漏,定位公式為:
式中:L為管道長度;y為泄漏點距離管道起點距離;p1和p2為管道上下游聲波幅值;α(M)為聲波衰減系數。
聲波幅值衰減模型中,聲波幅值直接被用于泄漏聲波定位,可不計算泄漏聲波聲速和時差,較傳統的互相關定位技術更加簡潔和直接。
為了驗證聲波衰減模型對于各種輸氣管道運行條件的適應性,2018年,劉翠偉等進一步分析了管道內黏性均勻流動介質中粘滯吸收、熱傳導和氣體流動對于聲波衰減的影響,利用理論和試驗得到的衰減因子進行擬合,進一步分析了泄漏聲波在不同介質中的傳播和衰減規律。上述研究表明,聲波振幅衰減模型相較于傳統泄漏互相關定位法有著更高的定位精度和更大的適用范圍。
此后,部分學者考慮到了泄漏聲波信號頻率和管道壁厚對于聲波衰減特性的影響,張曦等研究了聲發射泄漏信號頻率對聲波衰減的影響,得到能量衰減系數、幅值衰減系數與信號頻率之間的關系,建立三傳感器能量衰減定位模型。此模型不僅考慮了聲波散射和熱傳導的因素,還考慮了不同的聲波頻率成分對于幅值衰減系數和能量系數的影響。當金屬管道較薄時,聲發射信號幅值未呈單調衰減趨勢,同時泄漏聲波頻率與傳感器的頻譜密切相關,這為利用聲發射泄漏信號衰減特性定位提供了參考。
綜上所述,管道材料、加工工藝、流動介質等條件,以及泄漏聲波頻率,管道泄漏定位時放置傳感器的方式等因素都會造成泄漏聲波信號衰減特性產生變化。
3、基于特征參數的管道泄漏定位方法
沿管道傳播的泄漏聲波信號通常是連續信號,頻率分散,具有多種模態,傳播速度不穩定。在時頻域上對泄漏信號進行處理可以提取到泄漏信號的參數特征,從而對泄漏信號進行定位,均方根值、平均值、方差、幅值、峰值、能量、振鈴計數等特征參數通常被用于泄漏定位。
BANJARA探究了聲發射信號振鈴計數、能量、信號強度、標準偏差和泄漏流量的關系,發現聲發射計數、聲發射能量和信號強度等聲學特征是重要的聲發射參數。BANJARA驗證了聲發射參數在識別和定位管道泄漏方面的有效性,并且發現聲發射信號的一些特征參數可以反映泄漏速度的變化,但是并未在頻域上對泄漏聲波進行特征提取。
由于泄漏聲波往往伴隨著隨機噪聲,在時域上進行特征提取較困難,部分學者將時域變換為其他空間,在其他空間提取特征參數。劉翠偉等利用HHT方法對泄漏聲波信號進行處理,獲得泄漏信號的幅頻特性、HHT三維譜能量及邊際譜特性等7個聲波特征量,并通過試驗驗證了HHT三維譜作為有效聲波特征量的可行性。在管道泄漏早期直接提取泄漏聲波信號的時域特征往往不能正確反映泄漏信息,而需要采用時頻聯合分析信號處理方法對泄漏信號進行降噪后,再提取泄漏信號特征。
4、基于信息融合的管道泄漏定位方法
信息融合技術將多種傳感器收集的信息或者復雜實體提供的信息數據進行處理整合,增強智能化分析處理水平,最后對其進行決策。信息融合技術與經典信號處理方法對管道泄漏信號處理時有著本質區別,即信息融合技術可以處理泄漏檢測中使用的多個傳感器的信息,并可以在數據層、特征層、決策層等不同信息層次發揮作用,基于信息融合的泄漏定位原理如圖5所示。
圖5 基于信息融合的泄漏定位原理
由于管道泄漏時,管道氣體介質在壓差作用下噴射而出產生泄漏聲波,泄漏聲波的聲速和管道內流速都將發生變化,而發生小泄漏和緩漏時,流量信號和聲波聲速變化不明顯,考慮到這一點,郎憲明使用超聲波速信號和流量信號進行信號融合,使融合信號凸顯拐點,并通過環形管道泄漏定位試驗,驗證了信息融合方法有著較高的定位精度,更能凸顯泄漏聲波聲速和流量變化的瞬變信息,為解決小泄漏定位問題提供了參考。
當管道氣體從泄漏點流出時,泄漏位置和臨近位置會產生明顯壓力擾動,同時泄漏氣體也會與管道壁摩擦產生噪聲振動,為了研究噪聲和壓力對于泄漏聲波信號定位的影響,LI等基于互相關算法建立了基于多信息融合的噪聲-壓力相互作用模型,提出了單點多信號的泄漏定位算法,該算法有著更快的響應速度和檢測準確性。該模型中噪聲信號和壓力信號可以相互充當濾波器,抗干擾能力得到增強,多信號融合系統確保了更好的可靠性和準確性。
還有部分學者考慮到了泄漏聲波的頻域特征,將頻域特征和泄漏信號時域特征進行融合對泄漏聲波信號進行定位,HAN等通過分析二氧化碳管道泄漏聲發射信號的特性,提出了基于小波包和徑向基函數網絡(RBFN)的信息融合定位方法,通過提取小波包處理后的泄漏信號進行能量與時間差、最大值等泄漏信號特征的信息融合,以克服單個泄漏信號特征對管道泄漏定位的不確定問題。
多傳感器信息融合系統能夠處理泄漏聲波的復雜信息,降低泄漏定位誤差,避免多余的信息干擾,為輸氣管道泄漏聲波定位提供了一種新的思路。輸氣管道泄漏定位方法優缺點對比如下:
基于時延估計的泄漏定位法
優點:可以抑制不相關的噪聲,考慮了信號之間的弱關聯性
缺點:泄漏聲波信號具有多模態、頻散特點,使時間差和波速的確定精度誤差較大
基于聲波衰減的泄漏定位法
優點:不再受限于時間差的測量和波速的測量
缺點:管道上游和下游衰減參數不同,管道工況發生變化時,衰減參數需要重新計算
基于信息融合的泄漏定位法
優點:多個傳感器信息融合方法解決了各傳感器采集的泄漏信息單一的問題,提高了泄漏定位精度
缺點:輸入變量、決策方法、信息融合結構和融合單元等對其影響較大
三、傳感器技術
傳感器是決定泄漏聲波定位準確性和響應能力的重要因素,目前對傳感器技術的研究主要集中在以下兩個方面:
① 對傳感器數量和傳感器布置方式的研究;
② 對不同傳感器類型對管道泄漏定位影響的研究。
傳感器數量越多,泄漏定位精確度越高,但是在實際情況下,傳感器數量受到管道實際環境和經濟條件限制。
傳統的互相關定位方法使用兩個傳感器定位泄漏位置,且傳感器位于泄漏位置兩側,需要時鐘同步來獲得精確時間差和波速。針對該問題,OZEVIN等使用兩個位于同側的傳感器對管道泄漏進行定位,分別對管道泄漏點在軸向和徑向產生的聲波進行檢測,與傳統的互相關定位法相比,不再需要時鐘同步。
張曦等考慮到環境噪聲的影響,提出三傳感器定位模型對管道泄漏進行定位,傳感器的布置方式如圖6所示。其試驗結果表明,該定位模型可以弱化噪聲影響,適用于泄漏率較低和定位精度要求高的情況。
圖6 三傳感器定位模型傳感器布置方式
此外,當少量傳感器不能滿足需求時,部分學者考慮利用傳感器陣列對泄漏進行定位,TAO等提出陣列式超聲換能器氣體泄漏定位方法,使用陣列時差算法對微小泄漏進行精確定位。傳感器陣列多應用于定位管道平面或者整個空間上的泄漏。
目前傳感器主要包括動態壓力傳感器、超聲波換能器、聲發射傳感器等。LIU等選擇動態壓力傳感器對泄漏信號進行測量,其建立的去噪系統可對直管、彎管和變徑管道進行泄漏檢測和定位。
動態壓力傳感器對管道泄漏微弱壓力信號有著較高的靈敏度和低誤報率。與動態壓力傳感器安裝方式不同的是,超聲波換能器無需接觸管道壁,屬于非接觸性檢測。超聲波換能器識別到泄漏超聲信號并將其轉換為電信號,當其頻率為40 kHz時,氣體泄漏超聲波信號和環境噪聲聲強差異最大,因此大多選擇40 kHz作為超聲波換能器的中心頻率。聲發射傳感器通過檢測泄漏湍流引起的彈性波,進而利用信號處理方法對泄漏位置進行判別,屬于接觸性檢測。沿輸氣管道壁傳播的泄漏聲發射信號通常是具有頻散特征的連續信號,傳播速度不穩定,在對泄漏位置進行判別時,通常需要提取泄漏聲發射信號的波形特征、頻域特征和能量特征來進行定量分析。
四、結論與展望
聲波法由于定位精度和靈敏度高,在輸氣管道泄漏檢測定位中應用廣泛,隨著信號處理技術、人工智能和大數據的發展,聲波法在輸氣管道泄漏定位中的優勢更加明顯。介紹了聲波法在輸氣管道泄漏檢測和定位方面的應用,總結國內外聲波泄漏檢測定位方法,指出目前輸氣管道聲波法泄漏檢測定位方法的一些優點和不足。
輸氣管道狀態方面,聲波法目前集中于對架空管道泄漏的檢測和定位,對于埋地輸氣管道的研究較少。受土壤條件、管道壓力、泄漏孔徑、管道深度、土壤類型等諸多因素影響,目前對于埋地輸氣管道泄漏聲波的產生和傳播特性、衰減規律研究處于理論和仿真研究階段。
輸氣管道泄漏聲波檢測和定位理論研究方面,主要從信號處理、特征分析、聲波傳感技術出發,而從氣體聲學和氣體動力學角度對管道聲波的產生和傳播特性、衰減特性的研究較少。管道氣體流速、流向和氣動噪聲產生與泄漏聲波的傳播和衰減有著緊密關系,應更加深入理解輸氣管道泄漏信號的各種聲源特性和傳播規律,為實際管道工況泄漏檢測和定位提供理論支持。
輸氣管道聲波法泄漏檢測試驗研究方面,受外界噪聲的影響,管道泄漏信號易失真,嚴重影響泄漏檢測和定位的精度。小波分析、經驗模態分解、短時傅里葉變換等時頻分析技術單獨使用時,適用性往往受到諸多限制,主要表現為對于含噪微小泄漏信號的去噪效果不理想,管道處于高噪聲環境下時,需要融合多種信號處理方法對泄漏信號進行分析,提高含噪泄漏信號的去噪效果和特征提取能力。
輸氣管道聲波法泄漏定位試驗研究方面,傳統的互相關算法和各種改進的定位算法具有需要先驗知識的缺點,且響應慢,內存資源消耗大,限制了其在工業生產資源有限并且需要實時處理的條件下的應用。在實際工況中,需要對管道泄漏檢測和定位算法進行優化,提高識別和定位準確率的同時,也要求提高實時響應能力。
輸氣管道聲波法泄漏檢測定位模型方面,目前研究多集中于單點模型,對于多點泄漏源的檢測和定位研究很少。由于實際管道工況存在多點泄漏源和許多類型的干擾噪聲,通過單個或兩個傳感器往往不能全面反映管道運行工況,故需要將多個傳感器獲取的泄漏聲波信息融合進行推理和決策,進而提高泄漏檢測效率和定位精度。
輸氣管道聲波法泄漏檢測定位智能化研究方面,物聯網技術和無線通信技術的快速發展為輸氣管道泄漏在線監測預警提供了可能。物聯網云平臺管道泄漏監測方式和機器人搭載聲波傳感器等作業方式,可以不受管道外部環境的影響, 檢測效率和檢測精度能得到極大提高。
目前,聲學方法已經在管道泄漏識別和定位中有著明顯的優勢,聲波在管道中的傳播規律和特性研究的不斷深入,信號處理技術和各種算法的不斷進步,都將促進聲波法在輸氣管道泄漏識別和定位中的發展。
