導讀
PLA(聚乳酸)是一種可生物降解的基礎聚合物樹脂,且已被許可用于食品接觸材料中。過往人們較為關注PLA的乳酸單體遷移產生的風險,并且對乳酸遷移量給出了明確限量要求。但研究發現,乳酸二聚體——丙交酯也會殘留在PLA中并發生遷移,且文獻報道這種二聚體可能會有潛在風險。
因此建立了PLA中丙交酯的遷移量檢測方法,并對其遷移規律進行了初步研究。
1.背景介紹
1.1 聚乳酸
聚乳酸(Polylactic acid, PLA)是以乳酸為主要原料聚合而成的聚合物,目前被廣泛應用于食品接觸材料[1-3],包括常見的一次性餐具(聚乳酸刀、叉、勺、吸管等)和食品包裝[4-6]等。
近年來,有報道指出PLA還可以用作新型活性包裝與抗菌包裝的材料。作為一種可降解材料,PLA與食品接觸時,除了需要考察添加劑、單體、雜質等的遷移風險,其降解產物的遷移風險也值得關注。
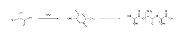
1.2 丙交酯
丙交酯是乳酸的環狀二聚體。在進行二步法聚合生產PLA時,將玉米、甘蔗、甘薯等淀粉質原料經微生物發酵制得乳酸后,使乳酸生成環狀二聚體的丙交酯,再開環縮聚生成PLA。目前二步法也是生產PLA較為成熟和主流的方法。
▲ PLA二步合成法原理示意圖
從PLA的合成工藝來看, PLA成品中可能會有殘留的丙交酯。此外,PLA成品在儲運、使用過程中也可能降解生成乳酸、丙交酯和其他低聚物,并且遷移到食品中。目前,日本和臺灣標準中對PLA中的乳酸遷移量均給出了具體限量要求(30 mg/L),而對于丙交酯,并未給出明確的限量要求。據研究,丙交酯對眼、皮膚有刺激作用[7],但目前我國GB 4806.6-2016和GB 9685-2016附錄中的正面清單中均未給出PLA中丙交酯的限量要求。因此有必要關注丙交酯的安全性。
本研究建立了PLA材質類食品接觸材料中丙交酯在各種食品模擬物中遷移量的測試方法,為丙交酯的后續安全評估提供技術支持。
2.丙交酯遷移量的檢測方法研究
2.1 方法原理
PLA按照GB31604.1和GB 5009.156進行遷移試驗后,浸泡液按不同類型分別進行樣品前處理。試樣溶液用GC-MS法進行檢測,根據色譜峰的保留時間和離子碎片進行定性,峰面積外標法定量。
2.2 分析步驟
樣品進行遷移實驗后,得到的浸泡液按照不同食品模擬物的類型進行相應的樣品前處理:對于橄欖油模擬物,取10g浸泡液置于離心管中,加入2 mL乙腈,渦旋1 min后,再離心5 min,取上層清液過濾后,上GC-MS儀測定;對于異辛烷模擬物,取浸泡液直接過濾后,上GC-MS儀測定。
2.3 參考譜圖
經GC-MS分析得到的丙交酯總離子流色譜圖與質譜圖如下圖所示:
▲ 丙交酯的GC-MS法色譜圖
▲ 丙交酯的質譜圖
2.4 方法學驗證
以丙交酯標準溶液的峰面積為縱坐標(Y),對應的質量濃度為橫坐標(X, mg/L)或(X, mg/kg)作線性方程。在0.020~0.20 mg/kg(或mg/L)濃度范圍內, R2≥0.995,峰面積與濃度呈良好線性關系。兩種模擬物的線性方程與R2見下表。
以信噪比(S/N)等于3 時計算檢出限,信噪比(S/N)等于10 時計算定量限,兩個模擬物中的檢出限均為0.01 mg/kg,定量限均為0.02 mg/kg。采用基質空白加標的方式, 分別考察3個不同濃度水平下的加標回收率和精密度。測得加標回收率范圍為 80.0%~120%,相對標準偏差為2.6%~6.6%。
結果表明,該方法具有較好的回收率和精密度,滿足 GB/T 27404-2008《實驗室質量控制規范 食品理化檢測》中的分析要求, 能夠用于日常分析的檢測。
▲ 回歸方程、線性范圍及相關系數
2.5 實際樣品測試
研究組收集了市面購買的7款PLA樣品,包括一次性刀、叉、勺。所有樣品均進行了殘留量和遷移量的測試,統計結果如下:
▲ 樣品檢測結果
從殘留量結果可知,樣品均含有丙交酯。遷移量測試發現,大部分樣品檢出丙交酯。遷移量中的丙交酯來源復雜,可能是單體殘留或者聚合物的降解,包括遷移前的降解與遷移實驗中的降解。對比遷移量的結果可知,陽性樣品的橄欖油遷移量均比替代條件下異辛烷的遷移量高,橄欖油是作為丙交酯遷移試驗中更為嚴苛的油性模擬物。
3.丙交酯在油性模擬物中的遷移規律初探
對于大多數塑料制品,一般認為在多數情況下,異辛烷是比橄欖油更為嚴苛的模擬物。但PLA中丙交酯的遷移數據卻與之相反,為了探究其原因,研究組設計了一組試驗:取四款PLA樣品,在分別用橄欖油和異辛烷不同遷移條件下進行丙交酯遷移實驗,結果如下:
▲ 樣品在不同遷移條件下的遷移量
對比圖中40℃下兩種模擬物的結果,4款樣品中除了其中1款在油脂類模擬物中未檢出總遷移量外,其余3款樣品在異辛烷中的總遷移量均高于在橄欖油中的總遷移量。因此模擬物的差異不是導致橄欖油的遷移量高于替代條件下異辛烷遷移量的原因。另外,4款PLA樣品在橄欖油模擬物和替代溶劑異辛烷中在60~70℃條件下的丙交酯遷移量均高于它們在40℃下的遷移量,且數值超過10倍,表明溫度是影響遷移量高低的重要因素。而且,溫度增加,丙交酯遷移量增加,與文獻[8]報道的水模擬物中丙交酯遷移量隨溫度增加而增加的規律一致。
綜合以上實驗結果可知,溫度是導致本次遷移實驗中橄欖油的遷移量結果高于替代條件下異辛烷遷移量的主要原因。
4.建議
企業在生產聚乳酸食品接觸材料制品時,需要關注丙交酯的遷移情況,盡量降低丙交酯的遷移水平。為此應該盡量優化配方和生產工藝,嚴格控制丙交酯的遷移,并在有該項目技術能力的檢測機構對丙交酯的遷移量進行實際測試,掌握產品中丙交酯的遷移水平,并對其安全性進行相應的評估,本著對消費者健康安全切實負責的態度做好產品的質量與安全控制。
