心電信號(ECG)在日常監護以及心血管疾病的診斷及治療等領域具有重要的輔助作用。目前多數心電監護設備需要使用多根線纜連接至被測試者身體的不同部位,這將嚴重影響被測試者的舒適性。
有機電化學晶體管(OECT)由于具有低工作電壓、高跨導以及較好的生物相容性而廣泛應用于生物傳感及柔性可穿戴電子領域。
圖一,超薄柔性有機電化學晶體管制備和表征。
基于此,香港理工大學講座教授嚴鋒領導的研究團隊報道了一種超柔有機電化學晶體管陣列(OECT array),并用于心臟區域體表的心電信號測繪,相關工作以“Wearable Organic Electrochemical Transistor Array for Skin-Surface Electrocardiogram Mapping above a Human Heart”為題發表在《Advanced Functional Materials》上。
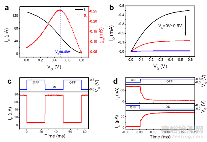
通過優化OECT器件制備工藝,器件溝道長度可縮短至僅2微米,采用聚對二甲苯(Parylene)柔性襯底制備的器件具有極佳的柔性,彎曲穩定性好,響應時間可縮短至約10微秒。
圖二,有機電化學晶體管的晶體管性能和瞬態響應。
柔性OECT陣列用于可穿戴心電信號測繪時,該陣列能夠和皮膚完美貼合,并通過單根信號線纜連接至外部信號獲取設備,所獲得的信號具有典型的心電信號特征,在陣列不同位置記錄的心電信號具有不同的信號特征,該特征區別于傳統12導聯心電監護儀所獲得信號,并有望用于體育訓練指導及心血管疾病診斷。
圖三,超薄柔性有機電化學晶體管陣列貼于體表并實現心電圖表面測繪。
圖四,運動前后體表心電圖表面測繪比較。
