輻射電磁干擾 (EMI) 是一種在特定環境中動態出現的問題,與電源轉換器內部的寄生效應、電路布局和元器件排布及其在運行時所處的整體系統相關。因此,從設計工程師的角度出發,輻射 EMI 的問題通常更具挑戰性,復雜度更高,在系統主板使用多個 DC/DC 功率級時尤為如此。了解輻射 EMI 的基本機制以及測量要求、頻率范圍和相應限制條件至關重要。本文重點介紹這些方面的內容,展示輻射 EMI 測量裝置以及兩個 DC/DC 降壓轉換器的結果。
一、近場耦合
圖 1 概略介紹了噪聲源與受干擾電路之間基本 EMI 耦合模式特別是電感或 H 場耦合需要 di/dt 較高的時變電流源和兩條磁耦合回路(或帶有返回路徑的平行導線)。另一方面,電容或 E 場耦合需要 dv/dt 較高的時變電壓源和兩塊緊鄰的金屬板。這兩種機制均屬于近場耦合,其中的噪聲源與受干擾電路非常接近,可使用近場嗅探器進行測量。
圖 1:EMI 耦合模式
例如,現代電源開關,特別是氮化鎵 (GaN) 和碳化硅 (SiC) 基晶體管,其輸出電容 COSS 較低,柵極電荷 QG 較少,能夠以極高的 dv/dt 和 di/dt 轉換率進行開關。相鄰電路發生 H 場和 E 場耦合以及串擾的可能性很高。然而,隨著互感或電容減小,耦合結構的間距增大,近場耦合顯著減弱。
二、遠場耦合
典型的電磁 (EM) 波以 E 場和 H 場組合的形式傳播。輻射天線源附近的場結構為復雜的三維模式。從輻射源進一步分析,遠場區域中的 EM 波由彼此正交并且與傳播方向正交的 E 場和 H 場分量組成。圖 2 展示了這種平面波,它代表輻射 EMI 的主要基準,受到各種輻射標準的約束。
圖 2:電磁平面波傳播
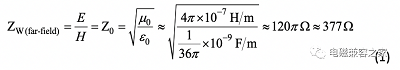
圖 3 所示的波阻抗等于電場強度與磁場強度之比。遠場區域中的 E 和 H 分量同相,因此遠場阻抗呈阻性,具體值可通過麥克斯韋方程(如方程 1 所示)的平面波解決方案計算:
如果 λ 是波長,F 是所需頻率,方程 2 通常表示近場和遠場區域之間的邊界:
然而,該邊界不是精確的標準,僅用于指示一般性過渡區域(圖 3 中描述為 l/16 至 3l),其中的場從復雜的分布形態演變為平面波。
圖 3:麥克斯韋定律中近場和遠場區域的波阻抗
鑒于多數天線設計用于檢測和響應電場,輻射的電磁波通常稱為垂直或水平極化,具體取決于電場方向。測量 E 場天線一般應與傳播的 E 場在同一平面中定向,從而檢測最大場強。因此,輻射 EMI 測試標準通常介紹接收天線以垂直和水平極化方式安裝時的測量。
三、工業和多媒體設備中的輻射 EMI
表 1 列出了聯邦通信委員會 (FCC) 第 15 部分 B 子節針對無意輻射體規定的 A 類和 B 類輻射發射限值。此外,本規范第 15.109(g) 條允許在使用美國國家標準協會 (ANSI) C63.4-2014 規定的測量方法時,使用國際無線電干擾特別委員會 (CISPR) 22 規定的輻射發射限值(如表 2 所述)。表 1 和表 2 中規定的限值均針對低于 1GHz 的頻率,使用 CISPR 準峰值 (QP) 檢測器功能,分辨率帶寬 (RBW) 為 120kHz。表 3 和表 4 規定的限值針對 1GHz 以上的頻率,此時使用峰值 (PK) 和平均 (AVG) 檢測器以及分辨率帶寬為 1MHz 的接收器。
對于指定的測量距離,B 類民用或家用應用限制通常比 A 類商用或工業應用限制更嚴格,通常高出 6dB 至 10dB。另請注意,表 1 和表 2 還包括一個按照 15.31(f)(1) 使用的 20 dB/dec 的反向線性距離 (1/d) 比例系數,針對 3m 和 10m 天線測量距離對應的限值進行歸一化處理,從而確定合規性。例如,如果將天線放置在 3 米而非 10 米的位置,從而保持在測試設備邊界內,則限制幅值調整約 10.5dB。
表 1:按照 47 CFR 15.109(a) 和 (b) 標準規定的 30MHz 到 1GHz 范圍的輻射發射場強 QP 限值
表 2:按照 47 CFR 15.109(g)/CISPR 22/32 標準規定的 30MHz 到 1GHz 范圍的輻射發射場強 QP 限值
表 3:按照 47 CFR 15.109(a) 和 (b) 標準規定的 1GHz 到 6GHz 范圍的輻射發射場強限值
表 4:按照 47 CFR 15.109(g)/CISPR 22/32 標準規定的 1GHz 到 6GHz 范圍的輻射發射場強限值
圖 4 展示了當天線距離為 3m 時,A 類和 B 類相關限值的圖象。符合 FCC 的設計包括采用 Bluetooth® 低能耗技術的氣體傳感器實施方案,其由電池供電,可從德州儀器 (TI) 購買。用戶可下載有關此設計的FCCA類合規性報告,其中列出輻射發射測試數據和圖象,以便查閱相關信息。
圖 4:FCC 第 15 部分和 CISPR 22 的 A 類和 B 類輻射限值(對于低于和高于 1GHz 這兩種條件,分別使用 QP 和 AVG 檢測器)
如圖 5 所示,輻射 EMI 測試程序包括將待測設備 (EUT) 和支持設備放置在半消聲室 (SAC) 或開闊試驗場 (OATS) 內的非導電轉盤(高出基準接地平面 0.8m)之上,遵循 CISPR 16-1 中所定義。EUT 設置在與安裝于天線塔上的接收天線相距 3m 的位置。
使用經校準的寬帶天線(雙錐形天線和對數周期天線組合,或者 Bilog 天線)的 PK 檢測器預掃描功能,沿水平和垂直兩種天線極化方向對 30MHz 到 1GHz 的輻射發射進行檢測。這種探究性測試可以確定所有重要發射的頻率。執行該測試后,使用 QP 檢測器檢查相關的故障點,記錄最終合規測量值。
在測試期間,EMI 接收器的 RBW 設置為 120kHz。配置天線的水平和垂直極化方向(將其相對于接地平面旋轉 90°),并將高度調整為高出接地平面 1m 到 4m,以便在考慮地面反射時,將每個測試頻率對應的場強讀數最大化。在測量期間,可將轉盤上的 EUT 在 0 到 360° 之間旋轉,使天線與 EUT 之間的方位角發生變化,以便根據 EUT 的方位獲得最大場強讀數。天線位于 EUT 的遠場區,對應于 3m 天線距離,頻率為 15.9MHz。
圖 5:FCC 第 15 部分和 CISPR 22/32 對應的輻射發射測量裝置
可以使用喇叭天線針對 1GHz 以上的頻率執行 PK 檢測器預掃描,然后在接近限制時使用 AVG 檢測器。EMI 接收器的 RBW 設置為 1MHz。天線方向明確,因此無需執行高度掃描,接地平面和暗室壁的反射也很難造成干擾。然而,EUT 在這些頻率下的輻射發射方向性更強,因此轉盤再次旋轉 360 度,確定天線極化方向以獲得最大響應。根據表 5,測量頻率的上限范圍隨 EUT 的最高內部頻率發生變化。
表5:輻射發射最大測量頻率(基于 EUT 內部時鐘源的最高頻率)
輻射發射測試以每米若干分貝/微伏 (dB/mV) 為單位校準電場強度。天線因子 (AF) 是天線平面產生的電場 (mV/m) 與頻譜分析儀 (SA) 或掃描 EMI 接收器測得的電壓 (dB/mV) 之比。一般而言,校正的發射電平由方程 3 推導得出,推導時將 AF、電纜損耗 (CL)、衰減器和 RF 限制器損耗因子 (AL) 以及放大器預增益 (AG) 考慮在內。
圖 6 所示為 LMR16030 60V/3A 降壓轉換器輻射發射測試裝置的照片和結果。測量條件為 24V 輸入、5V 輸出、3A 負載電流和 400kHz 開關頻率。
圖 6:CISPR 22 輻射 EMI 測試:測試裝置照片 (a);水平和垂直極化天線的輻射 EMI 結果 (b)
四、汽車系統中的輻射 EMI
盡管屏蔽電纜可以削弱汽車系統中的干擾效應,但 EMI 可通過串擾“有效地”在易受影響的電路中耦合。在場線耦合效應的作用下,對于體積相對較小但電源分布密集、信號通過電纜束的車輛,輻射排放還可能導致信號互連出現輻射抗擾問題。基于上述原因,評估 EMI 性能便成為汽車工程師在設計和測試電動汽車時重點關注的問題。
五、UNECE 10 號法規和 CISPR 25
CISPR 12 和 CISPR 25 均為國際標準,提供無線電干擾測量的限值和程序,分別為汽車的車載和非車載接收器提供保護。CISPR 25 特別適用于汽車級別,也適用于所有車用電子組件 (ESA)。與其他標準相比,CISPR 25 通常作為汽車制造商及其供應商定義產品規格的基礎,但不是評定合規性和遵從情況的基準。自歐盟電動汽車 EMC 指令廢止后,聯合國歐洲經濟委員會 (UNECE) 第 10 條規定中出現這一差別。
CISPR 25 針對車輛元器件排放測量定義了數種方法和限值類別,兼顧寬帶 (BB) 源和窄帶 (NB) 源。圖 7 說明了針對元器件/模塊使用 PK 和 AVG 檢測器的 5 類限值。測量對象為車輛中工作在廣播和移動服務頻帶中的接收器。最低測量頻率涉及 150kHz 至 300kHz 的歐洲長波 (LW) 廣播頻帶,最高頻率為 2.5GHz(考慮藍牙傳輸)。
圖 7:使用內襯吸收器的屏蔽外殼 (ALSE) 方法,通過峰值和平均值檢測器(線性頻率標度)測得的元器件/模塊的 CISPR 25 5 類輻射限值
對于 30MHz 以下和以上兩種條件下的檢測,掃描接收器的 RBW 分別為 9kHz 和 120kHz。例外情況是 GPS L1 民用(1.567GHz 至 1.583GHz)和全球導航衛星系統 (GLONASS) L1(1.591GHz 至 1.613GHz)頻段。在這兩種頻段下,需要 9kHz 的 RBW 和 5kHz 的最大步長,從而在僅使用 AVG 檢測器的情況下檢測出相應的 NB 發射。
六、CISPR 25 的天線系統
使用額定輸出阻抗為 50Ω 的線性極化電場天線進行測量。表 6 和圖 8 顯示了 CISPR 25 建議使用的天線,可提升不同實驗室所提供結果的一致性。
表 6:根據 CISPR 25,建議使用電場天線;雙錐形天線和對數周期天線存在疊加頻率,而 Bilog 天線覆蓋了二種天線各自的頻率范圍。
圖 8:符合 CISPR 25 規范的測量天線
對于低頻測量,使用帶地網的無源/有源拉桿單極天線。雙錐形和對數周期偶極子陣列 (LPDA) 天線通常分別覆蓋 30MHz 至 200MHz 和 200MHz 至 1GHz 的頻率范圍。最后,雙脊喇叭天線 (DRHA) 通常用于 1GHz 至 2.5GHz。寬帶 Bilog 天線的外型比雙錐形或對數周期天線更大,有時用于覆蓋 30MHz 至 1GHz 的頻率范圍。
七、使用 ALSE 進行輻射 EMI 測試
圖 9、10 和 11 所示為使用 CISPR 25 ALSE 方法(也稱天線方法)的典型裝置,針對表 6 中規定的頻率范圍進行輻射發射測量。
EUT 和電纜束放置在高出接地平面 50mm 的非導體介電材料(相對介電常數 εr 較低,不高于 1.4)之上。與接地平面前部平行的線束長度為 1.5m,EUT 與負載模擬器之間測試線束的總長度不超過 2m。測試線束的長段平行于接地平面朝向天線的邊緣,與邊緣相距 100mm。接地平面的要求是最小寬度和長度分別為 1m 和 2m,或者在整個設備下方加上 200mm,取其中的較大值。根據方程式 2 給定的近遠場轉換以及 1m 天線距離,在 EUT 的近場區域進行測量時,頻率必須低于 48MHz。
圖 9:單極拉桿天線(150kHz 至 30MHz)的 CISPR 25 輻射發射測量裝置
圖 10:雙錐形天線(30MHz 至 300MHz)或對數周期天線(200MHz 至 1GHz)的 CISPR 25 輻射發射測量裝置
圖 11:喇叭天線(1GHz 以上)的 CISPR 25 輻射發射測量裝置
喇叭天線與 EUT 對齊,其他天線則放置在線束中點。執行所有測量時,天線距離均為 1 米。頻率范圍為 150kHz 至 30MHz 的測量僅針對垂直天線極化執行。頻率范圍為 30MHz 至 2.5GHz 的掃描同時針對水平極化和垂直極化執行。
如前文所述,EMI 接收器與 AF 結合所檢測到的天線電壓可在天線位置產生電場強度。請注意,獨立的 AF 可用于水平和垂直極化,因此可以使用相應的 AF 值對每個極化方向進行測量。
八、輻射 EMI 預合規測試及結果
圖 12 為 LM53635-Q1 汽車級同步降壓轉換器 [9] 輻射發射測試裝置的照片。EUT 由汽車電池供電,正負供電線路均連接線路阻抗穩定網絡 (LISN)。3.5A 阻性負載下的輸出為 3.3V。開關頻率為 2.1MHz,高于許多汽車系統所需的 AM 頻帶,同時啟用了擴頻調頻 (SSFM)。圖 13 至 16 顯示了使用各種測試天線通過 CISPR 25 5 類限值要求的測量結果。
圖 12:CISPR 25 預合規測量裝置照片
圖 13:輻射發射結果:150kHz 至 30MHz,拉桿天線,垂直極化
圖 14:輻射發射結果:30MHz 至 300MHz,雙錐形天線,水平和垂直極化
圖 15:輻射發射結果:200MHz 至 1GHz,對數周期天線,水平和垂直極化
圖 16:輻射發射結果:1GHz 至 2.5GHz,喇叭天線,水平極化
九、結論
輻射發射影響電源轉換器在高頻條件的 EMI 特性 [10]。輻射測試的上限頻率擴展到 1GHz 甚至更高(取決于規范),遠高于傳導發射。雖然不像傳導發射測試那樣簡單直接,但輻射發射測量對于合規測試不可或缺,很容易成為產品開發過程中的瓶頸。
對于汽車應用,由于長度原因,電纜束在低頻條件下主要采用輻射結構。測得的輻射發射曲線主要來源于所連接電纜中的共模電流,由印刷電路板 (PCB) 與電纜之間的近場電耦合驅動。我將在本文的后續章節探討輻射 EMI 減弱技術。
